
联系电话:18892005891
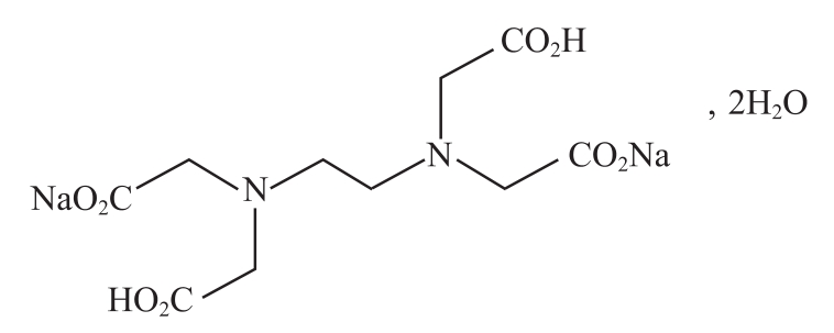
依地酸二钠
Yidisuan’erna
Disodium Edetate

C10H14N2Na2O8·2H2O 372.24
[6381-92-6]
本品为乙二胺四醋酸二钠盐二水合物。按干燥品计算,含C10H14N2Na2O8不得少于99.0%。
【性状】本品为白色或类白色结晶性粉末。
本品在水中溶解,在甲醇或乙醇中几乎不溶。
【鉴别】(1)取本品,在50℃减压干燥4小时,其红外光吸收图谱应与对照图谱(附图)一致(通则0402)。
(2)本品显钠盐的鉴别反应(通则0301)。
【检查】酸度 取本品0.50g,加水10ml溶解后,依法测定(通则0631),pH值应为4.0~5.0。
溶液的澄清度与颜色 取本品0.50g,加水10ml溶解后,依法检查(通则0901与通则0902),溶液应澄清无色。
氯化物 取本品1.0g,加水25ml溶解,加稀硝酸10ml,摇匀,放置至少12小时,待沉淀生成完全后,滤过,用少量水分次洗涤滤器,合并洗液与滤液,依法检查(通则0801),与标准氯化钠溶液4.0ml制成的对照液比较,不得更浓(0.004%)。
干燥失重 取本品1.0g,在150℃干燥6小时,减失重量应为8.7%~11.4%(通则0831)。
氨基三乙酸 取本品1.0g,精密称定,置100ml量瓶中,用1%硝酸铜溶液溶解并稀释至刻度,摇匀,作为供试品溶液。
取氨基三乙酸对照品100mg,精密称定,置100ml量瓶中,加浓氨溶液0.5ml溶解,用水稀释至刻度,摇匀,作为对照品贮备液。
取供试品溶液1ml,置100ml量瓶中,加对照品贮备液1ml,用1%硝酸铜溶液稀释至刻度,摇匀,作为系统适用性溶液。
取本品1.0g,精密称定,置100ml量瓶中,精密加对照品贮备液1ml,用1%硝酸铜溶液溶解并稀释至刻度,摇匀,作为对照品溶液。
照高效液相色谱法(通则0512)测定,用辛烷基硅烷键合硅胶为填充剂;以0.01mol/L氢氧化四丁基铵溶液(用磷酸调节pH值至7.5±0.1)-甲醇(90∶10)为流动相;检测波长为254nm;流速为每分钟1.5ml。取系统适用性溶液50μl,注入液相色谱仪,氨基三乙酸峰与硝酸铜峰之间的分离度应不小于3.0。精密量取对照品溶液与供试品溶液各50μl,分别注入液相色谱仪,记录色谱图。
供试品溶液色谱图中如有与氨基三乙酸保留时间一致的色谱峰,其峰面积不得大于对照品溶液与供试品溶液中氨基三乙酸峰面积的差值(0.1%)。
铁盐 取本品0.50g,加水适量使溶解,置50ml纳氏比色管中,加20%枸橼酸溶液2ml与氯化钙0.5g,振摇溶解后,加巯基乙酸0.1ml,摇匀,用氨试液调节至石蕊试纸显碱性,用水稀释至50ml,摇匀,静置5分钟,与标准铁溶液(通则0807)1.0ml用同一方法制成的对照液比较,不得更深(0.002%)。
【含量测定】 取本品约0.4g,精密称定,加水40ml使溶解,加氨-氯化铵缓冲液(pH 10.0)10ml,以锌滴定液(0.05mol/L)滴定,近终点时加少量铬黑T指示剂,继续滴定至溶液由蓝色变成紫红色。每1ml锌滴定液(0.05mol/L)相当于16.81mg的C10H14N2Na2O8。
【类别】螯合剂。
【贮藏】密闭,在干燥处保存。