药智官方微信 药智官方微博
客服 反馈
首页 > 特色要素 > 杂质-对照品 > 伊马替尼 杂质16

企业名片

  • 深圳卓越生物科技有限公司
    • 联系人:郑经理
    • 联系方式:立即查看
    • 地址:中国-广东-深圳-龙岗区-龙华区龙华街道三联路圣博雅商务中心4楼A06
    • 该商家已通过实名认证

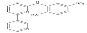
    伊马替尼 杂质16

    • 药智价格:
      1.00
    • 货源类别:
      现货
    • 发布时间:
      已过期
    • 供  应 商:
      深圳卓越生物科技有限公司
    • 供应分类:
      杂质-对照品
    • CAS 号:
    分享到:
    • 伊马替尼 杂质16
    
                    

    imatinib impurity,伊马替尼杂质

    还未收到相关的询价信息

    在线询价

    您正在向深圳卓越生物科技有限公司发送关于产品伊马替尼 杂质16的询问

    *联系人:
    当前还未登录,登录后可在线询价,马上登录注册
    *联系电话:
    *验证码:
    *采购数量:
    *有效时间:

    若供应商超过3天未报价,委托药智通推荐更多供应商报价
    说明:

    点击“立即发送”后,商家将在1个工作日内与您取得联系。