药智官方微信 药智官方微博
客服 反馈

企业名片

西安天正药用辅料有限公司

产品供应

联系电话:18892005891

聚乙烯醇

Juyixichun  

Polyvinyl Alcohol

蒲公英

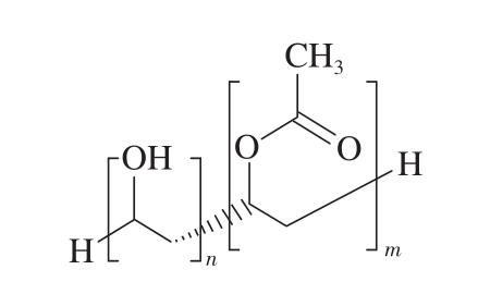
本品为聚乙酸乙烯酯的甲醇溶液中加碱液进行醇解反应制得品,分子式以(CH2CHOH)n(CH2CHOCOCH3m表示,其中的m+n代表平均聚合度,m/n应为0~0.35。本品的平均分子量应为20 000~220 000。

【性状】本品为白色至微黄色粉末或半透明状颗粒。

本品在乙醇或丙酮中几乎不溶。

酸值 取本品10g,精密称定,置圆底烧瓶中,加水250ml,不断搅拌下加热回流30分钟后,不断搅拌下放冷。精密量取50ml,依法测定(通则0713),酸值不大于3.0。

【鉴别】 取本品,照红外分光光度法(通则0402)测定,应在2940cm-1±10cm-1及2920cm-1±10cm-1波数处有特征吸收峰。

【检查】黏度 取本品适量(相当于干燥品6.00g),以每分钟60转的转速,在连续搅拌下,加至已称重的含有140ml水的烧杯中,提高转速至每分钟400转(避免混入过多空气),加热至90℃,在90℃水浴中,以每分钟400转的转速保持约5分钟,停止加热,以每分钟60转的转速连续搅拌1小时,放冷至室温,再补水至溶液150g,搅拌均匀,100目筛滤过,作为供试品溶液。采用合适的旋转黏度计(建议采用Brookfield旋转黏度计),依法测定(通则0633第三法),在20℃±0.1℃时的动力黏度应为标示量的85.0%~115.0%。

水解度 取本品1g,精密称定,置250ml锥形瓶中,加60%甲醇溶液35ml,使供试品浸润,加酚酞指示液3滴,用稀盐酸或氢氧化钠试液调至中性,精密加0.2mol/L氢氧化钠溶液25ml,加热回流1小时,用水10ml冲洗冷凝器的内壁和塞的下部,放冷,用盐酸滴定液(0.2mol/L)滴定剩余的氢氧化钠溶液至终点;同法进行空白试验。以供试品消耗盐酸滴定液(0.2mol/L)的体积(ml)为A,空白试验消耗的体积(ml)为B,供试品的重量(g)为W,按下式计算供试品的皂化值(S):

蒲公英

根据测得的皂化值(S)按下式计算水解度应为85%~89%。

蒲公英

酸度 取本品2g,加水50ml,置水浴中加热使溶解,放冷,依法测定(通则0631),pH值应为4.5~6.5。

溶液的澄清度与颜色 取本品10g,置圆底烧瓶中,加水250ml,不断搅拌下加热回流30分钟使溶解,放冷至室温;依法检查(通则0901与通则0902),溶液应澄清无色;如显浑浊,与1号浊度标准液(通则0902第一法)比较,不得更浓;如显色,与黄色或黄绿色1号标准比色液(通则0901第一法)比较,不得更深。

水中不溶物 取本品约6g,精密称定,加水制成浓度为4.0%(g/g)的溶液,置水浴中充分搅拌加热使溶解,趁热用经110℃干燥至恒重的100目筛网过滤,残渣用水充分洗涤,残留物在110℃干燥1小时,不溶物不得超过0.1%。

干燥失重 取本品,在105℃干燥至恒重,减失重量不得过5.0%(通则0831)。

炽灼残渣 取本品1.0g,依法检查(通则0841),遗留残渣不得过1.0%。

重金属 取炽灼残渣项下遗留的残渣,依法检查(通则0821第二法),含重金属不得过百万分之十。

砷盐 取本品1.0g,加氢氧化钙1.0g,混合,加水少量,搅拌均匀,干燥后,先用小火灼烧使炭化,再在500~600℃炽灼使完全灰化,放冷,加盐酸5ml与水23ml,依法检查(通则0822第一法),应符合规定(0.0002%)。

【类别】成膜剂和助悬剂等。

【贮藏】密闭保存。

【标示】①应标明本品中残留溶剂甲醇和乙酸甲酯的限度(可按下述测定方法测定)。②以mPa·s或Pa·s为单位标明黏度的标示值。


联系电话:18892005891

苯甲醇

Benjiachun

Benzyl Alcohol

C7H8O 108.14

[100-51-6]

本品按无水物计算,含C7H8O不得少于98.0%。

【性状】本品为无色液体。

本品在水中溶解。

相对密度 本品的相对密度(通则0601)为1.043~1.049。

折光率 本品的折光率(通则0622)为1.538~1.541。

过氧化值 本品的过氧化值(通则0713)不得过5。

【鉴别】本品的红外光吸收图谱应与对照图谱(附图)一致(通则0402)。

【检查】酸度 取本品10ml,加入乙醇10ml和酚酞指示液1 ml,用氢氧化钠滴定液(0.1 mol/L)滴定至溶液显粉红色,消耗的氢氧化钠滴定液(0.1mol/L)不得过0.2ml。

溶液的澄清度与颜色 取本品2ml,加水58ml,振摇,依法检查(通则0901与通则0902),溶液应澄清无色。

氯化物 取本品1g,依法检查(通则0801),与标准氯化钠溶液3.0ml制成的对照液比较,不得更深(0.003%)。

有关物质 取本品作为供试品溶液。

另取苯甲醛对照品适量,精密称定,加丙酮溶解并稀释制成每1 ml中含苯甲醛0.5 mg的溶液作为对照品溶液。

照气相色谱法(通则0521)测定,以聚乙二醇20M为固定液的毛细管柱为色谱柱;分流进样,分流比20∶1;起始温度为50℃,以每分钟5℃的速率升温至220℃,维持35分钟;进样口温度为200℃;检测器温度为310℃。

精密量取供试品溶液与对照品溶液各1μl注入气相色谱仪,记录色谱图,供试品溶液色谱图中任何小于主峰面积0.0001%的峰可忽略不计。

按外标法以峰面积计算,含苯甲醛不得过0.1%,如有其他杂质峰,按面积归一化法计算,单个未知杂质不得过0.02%,其他杂质总量不得过0.1%;供注射用时,按外标法以峰面积计算,含苯甲醛不得过0.05%,如有其他杂质峰,按面积归一化法计算,单个未知杂质不得过0.01%,其他杂质总量不得过0.05%。

水分 取本品,照水分测定法(通则0832第一法2)测定,含水分不得过0.5%。

蒸发残渣(确认样品符合过氧化值要求后进行此项测定) 取本品10.0g,置已恒重的坩埚中,在不超过200℃的电热板上蒸发至干,注意避免沸腾,残渣再在电热板上干燥1小时,将坩埚移置干燥器内放冷,遗留残渣不得过5mg(0.05%)。

细菌内毒素(供注射用) 取本品,依法检查(通则1143),每1mg苯甲醇中含内毒素的量应小于0.1EU。

【含量测定】照气相色谱法(通则0521)测定。

色谱条件与系统适用性试验 以聚乙二醇20M为固定液的毛细管柱为色谱柱;进样口温度为200℃,检测器温度为250℃,柱温为130℃。

测定法 取本品,精密称定,用甲醇稀释制成每1ml中约含1mg的溶液,精密量取1μl注入气相色谱仪,记录色谱图;另取苯甲醇对照品,同法测定,按外标法以峰面积计算,即得。

【类别】抑菌剂。

【贮藏】遮光,密封保存。


联系电话:18892005891
依地酸二钠

Yidisuan’erna
Disodium Edetate
    本品为乙二胺四醋酸二钠盐二水合物。按干燥品计算,含C10H14N2Na2O8不得少于99.0%。
  【性状】本品为白色或类白色结晶性粉末。
  本品在水中溶解,在甲醇、乙醇或三氯甲烷中几乎不溶。
  【鉴别】(1) 取本品2g,加水25ml使溶解,加3.3%硝酸铅溶液6ml,振摇,加碘化钾试液3ml,无黄色沉淀生成;用氨试液调节至碱性,再加草酸铵试液3ml,无沉淀生成。
  (2) 取本品,在50℃减压干燥4小时,其红外光吸收图谱应与对照图谱(光谱集978图)一致。
  (3) 本品显钠盐的鉴别反应(通则0301)。
  【检查】络合力试验  取本品,精密称定,用水溶解并稀释制成0.01mol/L的溶液,作为供试品溶液;精密称取经200℃干燥2小时的碳酸钙0.10g,置100ml量瓶中,加水10ml与6mol/L盐酸溶液0.8ml使溶解,用氨试液调节至中性,用水稀释至刻度,摇匀,作为试验溶液(1)(0.01mol/L);精密称取硫酸铜0.250g,置100ml量瓶中,用水溶解并稀释至刻度,摇匀,作为试验溶液(2)(0.01mol/L)。精密量取供试品溶液5ml,加氨试液3滴与4%草酸铵溶液2.5ml,在不断振摇下加试验溶液(1)5.0ml,溶液应澄明,振摇1分钟后,如仍浑浊,再加供试品溶液0.2ml,振摇1分钟,溶液应澄明;精密量取供试品溶液5ml,加氨试液0.5ml与亚铁氧化钾溶液0.5ml[1],在不断振摇下加试验溶液(2)4.8ml,溶液应显淡蓝色,不得有红色。
  酸度  取本品0.50g,加水10ml溶解后,依法测定(通则0631),pH值应为4.0~5.0。
  溶液的澄清度与颜色  取本品0.50g,加水10ml溶解后,依法检查(通则0901与通则0902),溶液应澄清无色。
  氯化物  取本品1.0g,加水25ml溶解,加稀硝酸10ml,摇匀,放置至少12小时,待沉淀生成完全后,滤过,用少量水分次洗涤滤器,合并洗液与滤液,依法检查(通则0801),与标准氯化钠溶液4.0ml制成的对照液比较,不得更浓(0.004%)。
  干燥失重  取本品1.0g,在150℃干燥6小时,减失重量应为8.7%~11.4%(通则0831)
  氨基三乙酸  取本品1.0g,精密称定,置100ml量瓶中,用1%硝酸铜溶液溶解并稀释至刻度,摇匀,作为供试品溶液;取氨基三乙酸对照品100mg,精密称定,置100ml量瓶中,加浓氨溶液0.5ml溶解,用水稀释至刻度,摇匀,作为对照品贮备液;取供试品溶液1ml,置100ml量瓶中,加对照品贮备液1ml,用1%硝酸铜溶液稀释至刻度,摇匀,作为系统适用性溶液;取本品1.0g,精密称定,置100ml量瓶中,精密加对照品贮备液1ml,用1%硝酸铜溶液溶解并稀释至刻度,摇匀,作为对照品溶液。照高效液相色谱法(通则0512)试验,用辛烷基硅烷键合硅胶为填充剂;以0.01mol/L氢氧化四丁基铵溶液(用磷酸调节pH值至7.5±0.1)-甲醇(90∶10)为流动相;检测波长为254nm;流速为每分钟1.5ml。取系统适用性溶液50μl,注入液相色谱仪,氨基三乙酸峰与硝酸铜峰之间的分离度应不小于3.0。精密量取对照品溶液与供试品溶液各50μl,分别注入液相色谱仪,记录色谱图。供试品溶液色谱图中如有与氨基三乙酸保留时间一致的色谱峰,其峰面积不得大于对照品溶液与供试品溶液中氨基三乙酸峰面积的差值(0.1%)。
  铁盐  取本品0.50g,加水适量使溶解,置50ml纳氏比色管中,加20%枸橼酸溶液2ml与氯化钙0.5g,振摇溶解后,加巯基乙酸0.1ml,摇匀,用氨试液调节至石蕊试纸显碱性,用水稀释至50ml,摇匀,静置5分钟,与标准铁溶液(通则0807)1.0ml用同一方法制成的对照液比较,不得更深(0.002%)。
  重金属  取本品1.0g,加硫酸1.0ml,加热炭化完全,再在500~600℃炽灼至完全灰化,依法检查(通则0821第二法),含重金属不得过百万分之十。
  【含量测定】取本品约0.4g,精密称定,加水40ml使溶解,加氨-氯化铵缓冲液(pH10.0)10ml,以锌滴定液(0.05mol/L)滴定,近终点时加少量铬黑T指示剂,继续滴定至溶液由蓝色变成紫红色。每1ml锌滴定液(0.05mol/L)相当于16.81mg的C10H14N2Na2O8。
  【类别】药用辅料,螯合剂。
  【贮藏】密闭,在干燥处保存。


联系电话:18892005891

枸橼酸钠

Juyuansuanna  

Sodium Citrate

蒲公英

C6H5Na3O7·2H2O 294.10

[6132-04-3]

本品为2-羟基丙烷-1,2,3-三羧酸钠二水合物。按干燥品计算,含C6H5Na3O7不得少于99.0%。

【性状】本品为无色结晶或白色结晶性粉末。

本品在水中易溶,在乙醇中不溶。

【鉴别】本品的水溶液显钠盐与枸橼酸盐(2)的鉴别反应(通则0301)。

【检查】碱度 取本品1.0g,加水20ml溶解后,加酚酞指示液1滴与硫酸滴定液(0.05mol/L)0.10ml,不得显红色。

溶液的澄清度与颜色 取本品2.5g,加水10ml溶解后,依法检查(通则0901与通则0902),溶液应澄清无色。

氯化物 取本品0.60g,依法检查(通则0801),与标准氯化钠溶液3.0ml制成的对照液比较,不得更浓(0.005%)。

硫酸盐 取本品1.00g,加水使成40ml,振摇,加稀盐酸2.5ml,充分振摇溶解,依法检查(通则0802),与标准硫酸钾溶液1.5ml制成的对照液比较,不得更浓(0.015%)。

酒石酸盐 取本品1g,置试管中,加水2ml溶解后,加醋酸钾试液与醋酸各1ml,用玻璃棒摩擦管壁,不得析出结晶性沉淀。

易炭化物 取本品0.40g,加硫酸[含H2SO494.5%~95.5%(g/g)]5ml,在90℃±1℃加热1小时,立即放冷,依法检查(通则0842),与黄色或黄绿色8号标准比色液比较,不得更深。

干燥失重 取本品,在180℃干燥至恒重,减失重量应为10.0%~13.0%(通则0831)。

钙盐或草酸盐 取本品2.0g,加新沸放冷的水20ml溶解后,加氨试液0.4ml与草酸铵试液2ml,摇匀,放置1小时,如发生浑浊,与标准钙溶液[精密称取碳酸钙0.125g,置500ml量瓶中,加水5ml与盐酸0.5ml的混合液使溶解,并用水稀释至刻度,摇匀,每1ml中含钙(Ca)0.10mg]1.0ml制成的对照液比较,不得更浓(0.005%)。

在上述检查中,如不发生浑浊,应另取本品1.0g,加水1ml与稀盐酸3ml的混合液使溶解,加90%乙醇溶液4ml与氯化钙试液4滴,静置1小时,不得发生浑浊。

铁盐 取本品1.0g,依法检查(通则0807),加正丁醇提取后,与标准铁溶液1.0ml用同一方法制成的对照液比较,不得更深(0.001%)。

重金属 取本品2.0g,加水10ml溶解后,加稀醋酸10ml与水适量使成25ml,依法检查(通则0821第一法),含重金属不得过百万分之五。

砷盐 取本品2.0g,加水23ml溶解后,加盐酸5ml,依法检查(通则0822第一法),应符合规定(0.0001%)。

【含量测定】 取本品约80mg,精密称定,加冰醋酸30ml,加热溶解后,放冷,加醋酐10ml,照电位滴定法(通则0701),用高氯酸滴定液(0.1mol/L)滴定,并将滴定的结果用空白试验校正。每1ml高氯酸滴定液(0.1mol/L)相当于8.602mg的C6H5Na3O7

【类别】缓冲剂、螯合剂和抗氧增效剂等。

【贮藏】密封保存。

注:本品在湿空气中微有潮解性,在热空气中有风化性。


三氯叔丁醇
Sanlüshudingchun
Chlorobutanol
    [6001-64-5]
  本品为2-甲基-1,1,1-三氯-2-丙醇半水合物。按无水物计,含C4H7Cl3O不得少于98.0%。
  【性状】 本品为白色结晶;有微似樟脑的特臭。
  本品在乙醇、三氯甲烷或挥发油中易溶,在水中微溶。
  熔点 取本品,不经干燥,依法测定(通则0612),熔点不低于77℃。
  【鉴别】 (1)在含量测定项下记录的色谱图中,供试品溶液主峰的保留时间应与对照品溶液主峰的保留时间一致。
  (2)本品的红外光吸收图谱应与对照品的图谱一致(通则0402)。
  【检查】 酸度 取本品5.0g,加乙醇10ml,振摇使溶解;取4ml,加乙醇15ml与溴麝香草酚蓝指示剂0.1ml,摇匀,其颜色与对照液(取0.01mol/L氢氧化钠溶液1.0ml,加乙醇18ml与溴麝香草酚蓝指示剂0.1ml,摇匀)所显的蓝色比较,不得更深。
  溶液的澄清度与颜色 取本品5.0g,加乙醇10ml使溶解,依法检查,溶液应澄清无色;如显浑浊,与2号浊度标准液(通则0902)比较,不得更浓;如显色,与黄色1号标准比色液(通则0901第一法)比较,不得更深。
  氯化物 取本品0.50g,加稀乙醇25ml,振摇溶解后,加硝酸1.0ml与稀乙醇适量使成50ml,再加硝酸银试液1.0ml,摇匀,在暗处放置5分钟,与对照液(取标准氯化钠溶液5.0ml加硝酸1.0ml与稀乙醇适量使成50ml,再加硝酸银试液1.0ml制成)比较,不得更浓(0.01%)。
  水分 取本品,照水分测定法(通则0832)测定,含水分应为4.5%~5.5%。
  炽灼残渣 不得过0.1%(通则0841)。
  【含量测定】 照气相色谱法(通则0521)测定。
  色谱条件与系统适用性试验 以聚乙二醇(PEG-20M)(或极性相近)为固定液的毛细管柱为色谱柱;起始温度为35℃,维持5分钟,以每分钟20℃的速率升温至135℃,维持10分钟;进样口温度为260℃;检测器温度为280℃;分流比为10∶1。三氯叔丁醇峰与内标物质峰的分离度应大于5。
  内标溶液的制备 取2,2,2-三氯乙醇适量,加正己烷溶解并稀释制成每1ml中约含15mg的溶液,即得。
  测定法 取本品约100mg,精密称定,置10ml量瓶中,用内标溶液溶解并稀释至刻度,摇匀,取1μl,注入气相色谱仪,记录色谱图;另取三氯叔丁醇对照品约100mg,精密称定,用内标溶液溶解并稀释至刻度,摇匀,同法测定,按内标法以峰面积计算,即得。
  【类别】药用辅料,抑菌剂和增塑剂等。
  【贮藏】密封保存。
  注:本品易升华。


DL-苹果酸
DL-Pingguosuan
DL-Malic Acid
  本品为(RS)-(±)-羟基丁二酸。按无水物计算,含C4H6O5不得少于99.0%。
  【性状】本品为白色结晶性粉末。
  本品在水或乙醇中易溶,在丙酮中微溶。
  熔点  本品的熔点(通则0612)为128~132℃。
  比旋度  取本品,精密称定,加水溶解并定量稀释制成每1ml中约含0.2g的溶液,依法测定(通则0621),比旋度为-0.10°至+0.10°。
  【鉴别】(1)取本品约0.5g,加水10ml使溶解,用浓氨溶液调节pH值至中性,加1%对氨基苯磺酸溶液1ml,在沸水浴中加热5分钟,加20%亚硝酸钠溶液5ml,置水浴中加热3分钟,加4%氢氧化钠溶液5ml,溶液即呈红色。
  (2)本品的红外光吸收图谱应与对照品的图谱一致(通则0402)。
  【检查】溶液的澄清度与颜色  取本品10.0g,加水100ml溶解后,依法检查(通则0901与通则0902),溶液应澄清无色;如显浑浊,与1号浊度标准液(通则0902第一法)比较,不得更浓。
  易氧化物  取本品0.10g,置100ml烧杯中,加水25ml与硫酸溶液(1→20)25ml使溶解,摇匀,置20℃±1℃水浴中冷却,加0.02mol/L高锰酸钾溶液5ml,溶液的颜色应在3分钟内不消失。
  氯化物  取本品1.0g,依法检查(通则0801),与标准氯化钠溶液5.0ml制成的对照液比较,不得更浓(0.005%)。
  硫酸盐  取本品1.0g,依法检查(通则0802),与标准硫酸钾溶液3.0ml制成的对照液比较,不得更浓(0.03%)。
  水中不溶物  取本品25.0g,加水100ml使溶解,用经100℃恒重的4号垂熔玻璃坩埚滤过,滤渣用热水冲洗后,在100℃干燥至恒重,遗留残渣不得过0.1%。
  有关物质  取本品,精密称定,加流动相溶解并定量稀释制成每1ml中含1mg的溶液,作为供试品溶液;另取富马酸和马来酸对照品各适量,精密称定,加流动相溶解并定量稀释制成每1ml中含10μg和0.5μg的混合溶液,作为对照品溶液。照高效液相色谱法(通则0512)试验,用辛烷基硅烷键合硅胶为填充剂,以0.1%磷酸溶液-甲醇(90:10)为流动相,检测波长为214nm。取富马酸、马来酸和DL-苹果酸对照品各适量,加流动相溶解并稀释制成每1ml中约含10μg、4μg和1mg的混合溶液,取10μl注入液相色谱仪,出峰顺序依次为DL-苹果酸、马来酸和富马酸,理论板数按DL-苹果酸峰计算不低于2000,DL-苹果酸峰、马来酸峰和富马酸峰的分离度均应符合要求。取对照品溶液10μl,注入液相色谱仪,调节检测灵敏度,使马来酸峰峰高约为满量程的10%。再精密量取供试品溶液与对照品溶液各10μl,分别注入液相色谱仪,记录色谱图至主峰保留时间的3倍。供试品溶液色谱图中如显杂质峰,按外标法以峰面积计算,含富马酸和马来酸不得过1.0%和0.05%;其他单个杂质峰面积不得大于对照品溶液中马来酸峰面积的2倍(0.1%),其他杂质峰面积的和不得大于对照品溶液中马来酸峰面积的10倍(0.5%)。
  水分  取本品,照水分测定法(通则0832第一法1)测定,含水分不得过2.0%。
  炽灼残渣  取本品1.0g,依法检查(通则0841),遗留残渣不得过0.1%。
  钙盐  取本品1.0g,加水10ml使溶解,加5%醋酸钠溶液20ml,摇匀,取15ml,加2mol/L醋酸溶液1ml,摇匀,作为供试品溶液;另取标准钙溶液(精密称取碳酸钙2.50g,置1000ml量瓶中,加5mol/L醋酸溶液12ml,加水适量使溶解并稀释至刻度,摇匀,作为钙贮备溶液。临用前,精密量取钙贮备溶液1ml,置100ml量瓶中,用水稀释至刻度,摇匀。每1ml中含Ca10μg)10.0ml,加2mol/L醋酸溶液1ml与水5ml,摇匀,作为对照品溶液。取醇制标准钙溶液(临用前,精密量取钙溶液贮备液10ml,置100ml量瓶中,用乙醇稀释至刻度,摇匀,每1ml中含Ca0.1mg)0.2ml,置纳氏比色管中,加4%草酸铵溶液1ml,1分钟后,加入供试品溶液,摇匀,放置15分钟后,与同法制成的对照液比较,不得更浓(0.02%)。
  重金属  取炽灼残渣项下遗留的残渣,依法检查(通则0821第二法),含重金属不得过百万分之二十。
  砷盐  取本品1.0g,加盐酸5ml与水23ml,依法检查(通则0822第一法),应符合规定(0.0002%)。
  【含量测定】取本品约1.0g,精密称定,置250ml量瓶中,加水溶解并稀释至刻度,摇匀,精密量取25ml,置锥形瓶中,加酚酞指示液2滴,用氢氧化钠滴定液(0.1mol/L)滴定至显微红色并保持30秒内不褪色。每1ml氢氧化钠滴定液(0.1mol/L)相当于6.704mg的C4H6O5。
  【类别】药用辅料,pH调节剂和抗氧剂等。
  【贮藏】遮光,密封保存。


联系电话:18892005891

苯甲酸
Benjiasuan
Benzoic Acid
    本品含C7H6O2不得少于99.0%。
  【性状】本品为白色有丝光的鳞片或针状结晶或结晶性粉末。
  本品在乙醇、三氯甲烷中易溶,在沸水中溶解,在水中微溶。
  熔点  本品的熔点(通则0612)为121~124.5℃。
  【鉴别】(1)取本品约0.2g,加0.4%氢氧化钠溶液15ml,振摇,滤过,滤液中加三氯化铁试液2滴,即生成赭色沉淀。
  (2)  本品的红外光吸收图谱应与对照图谱(光谱集233图)一致。
  【检查】乙醇溶液的澄清度与颜色  取本品5.0g,用乙醇溶解并稀释至100ml,依法检查(通则0901与通则0902),溶液应澄清无色。
  卤化物和卤素  取本品6.7g,精密称定,置100ml量瓶中,加1mol/L氢氧化钠溶液40ml与乙醇50ml使溶解,用水稀释至刻度,摇匀。取上述溶液10ml,加2mol/L氢氧化钠溶液7.5ml与镍铝合金0.125g,置水浴上加热10分钟,放冷,滤过,滤液置25ml量瓶中,滤渣用乙醇洗涤3次,每次2ml,洗液并入滤液中,用水稀释至刻度,作为溶液A。同法制备空白溶液作为溶液B。取溶液A、溶液B、标准氯化物溶液(精密量取0.132%氯化钠溶液1ml置100ml量瓶,用水稀释至刻度,临用新制)和水各10ml,分别置25ml量瓶中,各加硫酸铁铵溶液(取硫酸铁铵30g,加硝酸40ml,振摇,用水稀释至100ml,滤过,即得。本液应避光保存)5ml,摇匀,滴加硝酸2ml(边加边振摇),再加硫氰酸汞溶液(取硫氰酸汞0.3g,加无水乙醇使溶解成100ml,即得。本液配制后在7日内使用)5ml,振摇,用水稀释至刻度,在20℃水浴中放置15分钟。照紫外-可见分光光度法(通则0401),在460nm的波长处分别测定溶液A(以溶液B为空白)和标准氯化物溶液(以水为空白)的吸光度,溶液A的吸光度不得大于标准氯化物溶液的吸光度(0.03%)。
  易氧化物  取水100ml,加硫酸1.5ml,煮沸后,滴加高锰酸钾滴定液(0.02mol/L)适量,至显出的粉红色持续30秒不消失,趁热加本品1.0g,溶解后,加高锰酸钾滴定液(0.02mol/L)0.25ml,应显粉红色,并在15秒内不消失。
  易炭化物  取本品0.5g,加硫酸5ml振摇,放置5分钟,与黄色2号标准比色液比较,不得更深。
  炽灼残渣  不得过0.1%(通则0841)。
  重金属  取本品1.0g,加乙醇22ml溶解后,加醋酸盐缓冲液(pH3.5)2ml与水适量,使成25ml,依法检查(通则0821第一法),含重金属不得过百万分之十。
  【含量测定】取本品约0.25g,精密称定,加中性稀乙醇(对酚酞指示液显中性)25ml溶解后,加酚酞指示液3滴,用氢氧化钠滴定液(0.1mol/L)滴定。每1ml氢氧化钠滴定液(0.1mol/L)相当于12.21mg的C7H6O2。
  【类别】药用辅料,抑菌剂。
  【贮藏】密封保存。


乳酸钠溶液
Rusuanna Rongye
Sodium Lactate Solution
  本品含乳酸钠(C3H5NaO3)不得少于40.0%(g/g)。
  【性状】 本品为无色或几乎无色的澄清黏稠液体。
  本品能与水、乙醇或甘油任意混合。
  【鉴别】 本品显钠盐与乳酸盐的鉴别反应(通则0301)。
  【检查】 酸碱度取本品,加水制成每1ml中含乳酸钠0.112g的溶液,置水浴中加热30分钟,放冷,依法测定(通则0631),pH值应为6.5~7.5。
  溶液的澄清度与颜色 本品应澄清无色,如显色,与黄色1号标准比色液(通则0901第一法)比较,不得更深。
  氯化物 取本品1.0g,依法检查(通则0801),与标准氯化钠溶液5.0ml制成的对照液比较,不得更浓(0.005%)。
  硫酸盐 取本品2.0g,依法检查(通则0802),与标准硫酸钾溶液2.0ml制成的对照液比较,不得更浓(0.010%)。
  枸椽酸盐、草酸盐、磷酸盐或酒石酸盐 取本品1.0g,用水适量制成5ml,混匀,加氯化钙试液1ml,置水浴中加热5分钟,不得产生浑浊。
  甲醇与甲酯 照紫外-可见分光光度法(通则0401)测定。
  供试品溶液 取本品40g,精密称定,置凯氏烧瓶中,加水10ml,小心加入5mol/L氢氧化钾溶液30ml,通水蒸气蒸馏,用100ml量瓶加乙醇10ml为吸收液,收集馏出液至约95ml,用水稀释至刻度,摇匀。
  对照品溶液 取甲醇约10mg,精密称定,置100ml量瓶中,用10%乙醇溶液稀释至刻度,摇匀。
  测定法 精密量取供试品溶液与对照品溶液各10ml,分别置25ml量瓶中,各加高锰酸钾-磷酸溶液(取高锰酸钾3g,加磷酸15ml和水70ml的混合液溶解,用水稀释至100ml)5ml,混匀,静置15分钟,各加草酸-硫酸溶液(取水50ml,小心加硫酸50ml,混匀,放冷,加草酸5g,溶解)2ml,用玻璃棒搅拌至溶液无色,分别加品红亚硫酸试液5ml,用水稀释至刻度,摇匀,静置2小时,以水为空白,于575nm的波长处分别测定吸光度。
  限度 供试品溶液的吸光度不得大于对照品溶液的吸光度(0.025%)。
  还原糖 取本品0.50g,加水10ml混匀,加碱性酒石酸铜试液6ml,加热煮沸2分钟,不得生成红色沉淀。
  重金属 取本品适量(约相当于乳酸钠2.0g),置石英坩埚(或铂坩埚)中,依法检查(通则0821第二法),含重金属不得过百万分之十。
  砷盐 取本品适量(约相当于乳酸钠1.0g),加盐酸5ml与水23ml,依法检查(通则0822第一法),应符合规定(0.0002%)。
  【含量测定】取本品约0.2g,精密称定,置锥形瓶中,在105℃干燥1小时,加冰醋酸15ml与醋酐2ml,加热使溶解,放冷,加结晶紫指示液1滴,用高氯酸滴定液(0.1mol/L)滴定至溶液显蓝绿色,并将滴定的结果用空白试验校正。每1ml高氯酸滴定液(0.1mol/L)相当于11.21mg的C3H5NaO3。
  【类别】 碱性钠盐。
  【贮藏】 遮光,密封保存。


没食子酸丙酯
Moshizisuanbingzhi
Propyl Gallate
  本品为3,4,5-三羟基苯甲酸丙酯。按干燥品计算,含C10H12O5不得少于98.0%。
  【性状】本品为白色或类白色结晶性粉末。
  本品在乙醇或乙醚中易溶,在热水中溶解,在水中微溶。
  熔点  本品的熔点(通则0612)为146~150℃。
  【鉴别】(1)取本品少量,加水溶解后,加三氯化铁溶液1滴,即显蓝色。
  (2)在含量测定项下记录的色谱图中,供试品溶液主峰的保留时间应与对照品溶液主峰的保留时间一致。
  (3)本品的红外光吸收图谱应与对照图谱(光谱集1038图)一致。
  【检查】乙醇溶液的澄清度与颜色  取本品1.0g,加乙醇20ml溶解后,溶液应澄清无色;如显色,与黄色或黄绿色1号标准比色液(通则0901第一法)比较,不得更深。
  氯化物  取本品2.5g,加水50ml,振摇5分钟,滤过,取续滤液10ml,依法检查(通则0801),与标准氯化钠溶液5.0ml制成的对照液比较,不得更浓(0.01%)。
  硫酸盐  取氯化物项下的续滤液10ml,依法检查(通则0802),与标准硫酸钾溶液1.0ml制成的对照液比较,不得更浓(0.02%)。
  有关物质  取本品适量,精密称定,加流动相溶解并定量稀释制成每1ml中约含0.50mg的溶液,作为供试品溶液;另取没食子酸对照品适量,精密称定,加流动相溶解并定量稀释制成每1ml中约含0.10mg的溶液,作为对照品溶液;精密量取供试品溶液与对照品溶液各1ml,置200ml量瓶中,用流动相稀释至刻度,摇匀,作为对照溶液。照含量测定项下的色谱条件,精密量取供试品溶液与对照溶液各20μl,分别注入液相色谱仪,记录色谱图至主成分峰保留时间的3倍。供试品溶液色谱图中如有与没食子酸峰保留时间一致的色谱峰,按外标法以峰面积计算,不得过0.1%,其他各杂质峰面积的和不得大于对照溶液主峰面积(0.5%)。
  干燥失重  取本品,在105℃干燥至恒重,减失重量不得过0.5%(通则0831)。
  炽灼残渣  取本品1.0g,依法检查(通则0841),遗留残渣不得过0.1%。
  重金属  取炽灼残渣项下遗留的残渣,依法检查(通则0821第二法),含重金属不得过百万分之十。
  砷盐  取本品0.67g,加无水碳酸钠1g,加水少量,搅拌均匀,干燥后,先用小火灼烧使炭化,再在500~600℃炽灼使完全灰化,放冷,加盐酸5ml与水23ml使溶解,依法检查(通则0822),应符合规定(0.0003%)。
  【含量测定】照高效液相色谱法(通则0512)测定。
  色谱条件与系统适用性试验  用十八烷基硅烷键合硅胶为填充剂;以甲醇-水(45:55)(用磷酸调节pH值至3.0)为流动相;检测波长为272nm。取没食子酸丙酯与没食子酸对照品各适量,加流动相溶解并稀释制成每1ml中约含没食子酸丙酯0.25mg与没食子酸1.25μg的混合溶液,作为系统适用性溶液,取20μl注入液相色谱仪,记录色谱图,没食子酸丙酯峰与没食子酸峰的分离度应大于10。
  测定法  取本品,精密称定,加流动相溶解并定量稀释制成每1ml中约含25μg的溶液,作为供试品溶液,精密量取20μl注入液相色谱仪,记录色谱图;另取没食子酸丙酯对照品,精密称定,同法测定。按外标法以峰面积计算,即得。
  【类别】药用辅料,抗氧剂。
  【贮藏】严封,在凉暗干燥处保存。


阿拉伯胶
Alabojiao
Acacia
  [9000-01-5]
  本品为自豆科金合欢属Acacia Senegal(Linne)Willdenow或同属近似树种的枝干得到的干燥胶状渗出物。
  【性状】本品为白色至棕黄色的半透明或不透明的球形或不规则的颗粒、碎片或粉末。
  【鉴别】(1)取本品1.0g,加水2ml,放置2小时并时时搅拌使溶解,加乙醇2ml,振摇,生成白色凝胶状沉淀,加水10ml,沉淀溶解。
  (2)本品20%水溶液在蓝色石蕊试纸显弱酸性反应。
  (3)取本品1.0g,加水100ml使溶解,取上述溶液1ml,加10%醋酸铅溶液1.0ml,再加4%氢氧化钠溶液1.0ml,即生成白色沉淀。
  (4)在葡萄糖和果糖检查项下记录的色谱中,供试品溶液所显斑点的位置与颜色应与半乳糖、阿拉伯糖和鼠李糖对照品溶液的斑点相同。
  (5)取本品适量,研细后用液体石蜡装片(通则2001),置显微镜下观察,可见角状或不规则无色透明碎片;或偶见少量的淀粉和植物组织。
  【检查】不溶性物质  取本品5.0g,加水100ml使溶解,加3mol/L盐酸溶液10ml,缓慢煮沸15分钟,用经105℃干燥至恒重的4号垂熔坩埚滤过,反复用热水洗涤滤器后,在105℃干燥至恒重,遗留残渣不得过0.5%。
  淀粉或糊精  取本品水溶液(1→50)煮沸,放冷,滴加碘试液数滴,溶液不得显蓝色或红色。
  含鞣酸的树胶  取本品水溶液(l→50)10ml,加三氯化铁试液0.1ml,溶液不得显黑色或不得产生黑色沉淀。
  刺梧桐胶  取本品0.2g,置一具有分度值0.1ml的平底带塞玻璃量筒中,加60%乙醇10ml,密塞振摇,产生的胶体不得过1.5ml。
  葡萄糖和果糖  取本品0.1g,置离心管中,加1%三氟乙酸溶液2ml,强力振摇使溶解,密塞,120℃放置1小时,离心,取上清液转移至50ml圆底烧瓶中,加水10ml,60℃旋转减压蒸干(或利用氮吹仪吹干),残渣加水0.1ml和甲醇0.9ml使溶解,如有必要,再加甲醇1ml,滤过,取续滤液作为供试品溶液;另分别取阿拉伯糖、半乳糖、葡萄糖、鼠李糖和木糖对照品各10mg,加水1ml和适量甲醇使溶解,并用甲醇稀释至10ml,摇匀,作为对照品溶液。照薄层色谱法(通则0502)试验,吸取供试品溶液2~10μl,对照品溶液10~30μl(点样量以斑点清晰不超载为合宜),分别点于同一硅胶G薄层板(推荐MERCK板)上,以1.6%磷酸二氢钠溶液-正丁醇-丙酮(10:40:50)为展开剂,二次展开,第一次展开距离约为10cm,取出,晾干或吹干,第二次展开距离约15cm(无需更换展开剂),取出,晾干,喷以对甲氧基苯甲醛溶液(取对甲氧基苯甲醛0.5ml,加冰醋酸10ml,甲醇85ml,硫酸5ml,摇匀,即得)至恰好湿润,立即在110℃加热10分钟,放冷,立即检视,对照品溶液应显示5个清晰分离的斑点,从下到上的顺序依次为半乳糖(灰绿色或绿色)、葡萄糖(灰色)、阿拉伯糖(黄绿色)、木糖(绿灰色或黄灰色)、鼠李糖(黄绿色)。供试品色谱中,在与半乳糖和阿拉伯糖对照品色谱相应的位置之间,不得显灰色或灰绿色斑点。
  黄蓍胶  在葡萄糖和果糖检查项下记录的色谱中,供试品溶液在与木糖对照品色谱相应的位置上不得显绿灰色或黄灰色斑点。
  干燥失重  取本品,在105℃干燥5小时,减失重量不得过15.0%(通则0831)。
  总灰分  不得过4.0%(通则2302)。
  酸不溶性灰分  不得过0.5%(通则2302)。
  重金属  取本品1.0g,依法检查(通则0821第二法),含重金属不得过百万分之二十。
  砷盐  取本品0.67g,加氢氧化钙1.0g,加水2ml,混匀,100℃烘干,小火缓缓灼烧使炭化,再以480℃炽灼使完全灰化,放冷,加盐酸5ml与水21ml,依法检查(通则0822第一法),应符合规定(0.0003%)。
  微生物限度  取本品,依法检查(通则1105与通则1106),每1g供试品中需氧菌总数不得过103cfu,霉菌和酵母菌总数不得过102cfu,不得检出大肠埃希菌;每10g供试品中不得检出沙门菌。
  【类别】药用辅料,助悬剂、增稠剂和乳化剂等。
  【贮藏】密封,置干燥处保存。
  【标示】应标明黏度的标示值。