[1592-23-0] 本品主要为硬脂酸钙(C36H70O4Ca)与棕榈酸钙(C32H62O4Ca)的混合物,含氧化钙(CaO)应为9.0%~10.5%。 【性状】本品为白色粉末。 本品在水、乙醇或乙醚中不溶。 【鉴别】(1)取本品约25g,加稀硫酸60ml与热水200ml,加热并时时搅拌,使脂肪酸成油层分出,取油层用沸水洗涤至洗液不显硫酸盐的反应,收集油层于小烧杯中,在蒸汽浴上温热至油层与水层完全分离,并呈透明状,放冷,弃去水层,加热使油层熔化,趁热滤过,置干燥烧杯中,在105℃干燥20分钟。依法测定(通则0613),凝点不低于54℃。 (2)在脂肪酸组成检查项下记录的色谱图中,供试品溶液两主峰的保留时间应分别与对照品溶液两主峰的保留时间一致。 (3)取本品1.0g,加水25ml与盐酸5ml,摇匀,加热,使脂肪酸成油层分出,放冷,取水层,水层显钙盐的鉴别反应(通则0301)。 【检查】脂肪酸的酸值 取本品5.0g,加无过氧化物的乙醚50ml、稀硝酸20ml与水20ml,加热回流使溶解,放冷,置分液漏斗中静置分层,分取水层,乙醚层用水提取两次,每次5ml,合并上述水层,然后用无过氧化物的乙醚15ml洗涤水层,将水层置50ml量瓶中,用水稀释至刻度,摇匀,作为氯化物和硫酸盐的检查用供试溶液。合并上述乙醚层,挥干溶剂,于105℃干燥后,依法测定(通则0713),酸值应为195~210。 氯化物 取脂肪酸的酸值项下制备的检查用供试溶液1.0ml,依法检查(通则0801),与标准氯化钠溶液10.0ml制成的对照液比较,不得更浓(0.1%)。 硫酸盐 取脂肪酸的酸值项下制备的检查用供试溶液1.0ml,依法检查(通则0802),与标准硫酸钾溶液3.0ml制成的对照液比较,不得更浓(0.3%)。 干燥失重 取本品,在105℃干燥至恒重,减失重量不得过4.0%(通则0831 )。 镍 取本品0.05g两份,分别置高压消解罐中,一份中加硝酸2ml消化后,定量转移至10ml量瓶中,用水稀释至刻度,摇匀,作为供试品溶液;另一份中精密加标准镍溶液(精密量取镍单元素标准溶液适量,用水定量稀释制成每lml中含镍0.5μg的溶液)0.5ml,同法操作,作为对照品溶液。照原子吸收分光光度法(通则0406第二法),在232.0nm的波长处分别测定,应符合规定(0.0005%)。 镉 取本品0.05g两份,分别置高压消解罐中,一份中加硝酸2ml消化后,定量转移至100ml量瓶中,用水稀释至刻度,摇匀,作为供试品溶液;另一份中精密加标准镉溶液(精密量取镉单元素标准溶液适量,用水定量稀释制成每1ml中含镉0.3μg的溶液)0.5ml,同法操作,作为对照品溶液。照原子吸收分光光度法(通则0406第二法),在228.8nm的波长处分别测定,应符合规定(0.0003%)。 重金属 取本品2.5g,置蒸发皿中,作为供试品管;另取本品0.5g,置另一蒸发皿中,作为对照品管。分别加25%硝酸镁乙醇溶液5ml,用短颈漏斗盖于蒸发皿上,颈部朝上,在电热板上低温加热30分钟,再中温加热30分钟,放冷;移开漏斗,对照品管中精密加标准铅溶液2ml,分别将蒸发皿炽灼至样品灰化,放冷,加硝酸10ml,使残渣溶解,将溶液分别移入两个250ml烧杯中,各加高氯酸溶液(7→10)5ml,蒸发至干,残渣中加盐酸2ml,用水淋洗烧杯内壁,再蒸发至干,快干时旋动烧杯;再加盐酸2ml,重复上述操作,放冷后加水约10ml使残渣溶解;各加酚酞指示液1滴,用氢氧化钠试液中和至出现粉红色,再加稀盐酸至无色;各加稀醋酸lml与少量活性炭,混匀,滤过,滤液置50ml纳氏比色管中,用水冲洗滤渣后稀释至40ml,各加硫代乙酰胺试液1.2ml与醋酸盐缓冲液(pH3.5)2ml,摇匀,放置5分钟后,同置白纸上,自上向下透视,供试品管中显示的颜色与对照品管比较,不得更深。含重金属不得过百万分之十。 砷盐 取本品1.0g,加入稀盐酸(l→2)5ml与三氯甲烷20ml,剧烈振摇3分钟,静置,分离,取水层,加甲基橙指示液1滴,用氨试液调至中性,加盐酸5ml与水18ml,依法检查(通则0822第二法),应符合规定(0.0002%)。 脂肪酸组成 取本品约0.1g,精密称定,置锥形瓶中,加14%三氟化硼甲醇溶液5ml,摇匀,加热回流10分钟,沿冷凝管加正庚烷4ml,加热回流10分钟,放冷,加饱和氯化钠溶液20ml,振摇,静置分层,取上层液,经无水硫酸钠干燥,精密量取1ml,置10ml量瓶中,用正庚烷稀释至刻度,摇匀,作为供试品溶液。照气相色谱法(通则0521)试验,以聚乙二醇-20M(或极性相近)为固定液的毛细管柱为色谱柱,起始温度为70℃,维持2分钟,以每分钟5℃的速率升温至240℃,维持5分钟;进样口温度为220℃;检测器温度为260℃。取棕榈酸甲酯与硬脂酸甲酯对照品适量,加正庚烷溶解并稀释制成每lml中分别约含15mg与10mg的溶液,取1μl注入气相色谱仪,记录色谱图,棕榈酸甲酯峰与硬脂酸甲酯峰的分离度应大于5.0。取供试品溶液1μl注入气相色谱仪,记录色谱图,按面积归一化法计算,含硬脂酸不得少于40%,硬脂酸与棕榈酸的总和不得少于90%。 微生物限度 取本品,依法检查(通则1105与通则1106),每1g供试品中需氧菌总数不得过103cfu,霉菌和酵母菌总数不得过102cfu,不得检出大肠埃希菌。 【含量测定】取本品约1.2g,精密称定,置烧瓶中,加0.05mol/L硫酸溶液50ml,加热约3小时直至油层澄清(加热时盖上表面皿以防止溅出),必要时补充水至初始体积,放冷,滤过,用水洗涤滤器和烧瓶直至对蓝色石蕊试纸不呈酸性,再用氢氧化钠试液中和滤液至对蓝色石蕊试纸呈中性。在磁力搅拌器充分搅拌下,先加入乙二胺四醋酸二钠滴定液(0.05mol/L)30ml,再加氢氧化钠试液15ml与羟基萘酚蓝指示剂2mg,继续用乙二胺四醋酸二钠滴定液滴定至溶液显纯蓝色。每lml乙二胺四醋酸二钠滴定液(0.05mol/L)相当于2.804mg的CaO。 【类别】药用辅料,润滑剂和乳化剂等。 【贮藏】密闭,在阴凉干燥处保存。
本品为1,2-丙二醇。含C3H8O2不得少于98.5%。 【性状】本品为无色澄清的黏稠液体。 本品与水、乙醇或三氯甲烷能任意混溶。 相对密度 本品的相对密度(通则0601)在25℃时为1.035~1.037。 折光率 本品的折光率(通则0622)为1.431~1.433。 【鉴别】(1)在含量测定项下记录的色谱图中,供试品溶液主峰的保留时间应与对照品溶液主峰的保留时间一致。 (2)本品的红外光吸收图谱应与对照图谱(光谱集706图)一致。 【检查】酸度 取本品10.0ml,加新沸放冷的水50ml溶解后,加溴麝香草酚蓝指示液3滴,用氢氧化钠滴定液(0.01mol/L)滴定至溶液显蓝色,消耗氢氧化钠滴定液(0.01mol/L)的体积不得过0.5ml。 氯化物 取本品1.0ml,依法检查(通则0801),与标准氯化钠溶液7.0ml制成的对照液比较,不得更浓(0.007%)。 硫酸盐 取本品5.0ml,依法检查(通则0802),与标准硫酸钾溶液3.0ml制成的对照液比较,不得更浓(0.006%)。 有关物质 取本品适量,精密称定,用无水乙醇定量稀释制成每1ml中约含0.5g的溶液,作为供试品溶液;另取一缩二乙二醇(二甘醇)、一缩二丙二醇、二缩三丙二醇与环氧丙烷对照品,精密称定,用无水乙醇稀释制成每1ml中各含5μg、500μg、150μg与5μg的混合溶液,作为对照品溶液。照气相色谱法(通则0521)试验,以聚乙二醇20M(或极性相近)为固定液的毛细管柱为色谱柱,起始温度为80℃,维持3分钟,以每分钟15℃的速率升温至220℃,维持4分钟;进样口温度为230℃;检测器温度为250℃。各组分峰的分离度应符合要求。精密量取供试品溶液与对照品溶液各1μl,分别注入气相色谱仪,按外标法以峰面积计算。含一缩二乙二醇(二甘醇)不得过0.001%,一缩二丙二醇不得过0.1%,二缩三丙二醇不得过0.03%,环氧丙烷不得过0.001%。 氧化性物质 取本品5.0ml,置碘量瓶中,加碘化钾试液1.5ml与稀硫酸2ml,密塞,在暗处放置15分钟,加淀粉指示液2ml,如显蓝色,用硫代硫酸钠滴定液(0.005mol/L)滴定至蓝色消失,并将滴定的结果用空白试验校正,消耗硫代硫酸钠滴定液(0.005mol/L)的体积不得过0.2ml。 还原性物质 取本品1.0ml,加氨试液1ml,在60℃水浴中加热5分钟,溶液应不显黄色;迅速加硝酸银试液0.15ml,摇匀,放置5分钟,溶液应无变化。 水分 取本品,照水分测定法(通则0832第一法1)测定,含水分不得过0.2%。 炽灼残渣 取本品50g,加热至燃烧,即停止加热,使自然燃烧至干,在700~800℃炽灼至恒重,遗留残渣不得过2.5mg。 重金属 取本品4.0ml,加水19ml与醋酸盐缓冲液(pH3.5)2ml,依法检查(通则0821第一法),含重金属不得过百万分之五。 砷盐 取本品1.0g,加盐酸5ml与水23ml,依法检查(通则0822),应符合规定(0.0002%)。 【含量测定】照气相色谱法(通则0521)测定。 色谱条件与系统适用性试验 以聚乙二醇20M(或极性相近)为固定液的毛细管柱为色谱柱;起始温度为130℃,维持1分钟,以每分钟10℃的速率升温至240℃,维持3分钟;进样口温度为230℃;检测器温度为250℃。理论板数按丙二醇峰计算不低于10000。 测定法 取本品约100mg,精密称定,置100ml量瓶中,精密加入内标溶液(每1ml中约含1,3-丁二醇10mg的无水乙醇溶液)10ml,用无水乙醇稀释至刻度,摇匀,作为供试品溶液,精密量取1μl注入气相色谱仪,记录色谱图;另取丙二醇对照品,同法测定。按内标法以峰面积计算,即得。 【类别】药用辅料,溶剂和增塑剂等。 【贮藏】密封,在干燥处避光保存。 注:本品有引湿性。
联系电话:18892005891
聚维酮
K90Juweitong K90
Povidone K90
(C6H9NO)n
[9003-39-8]
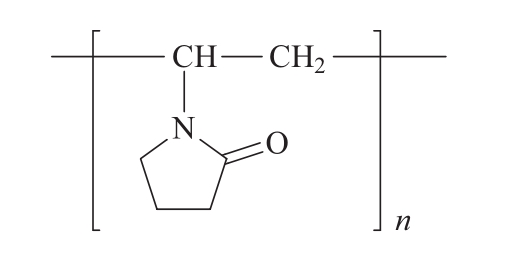
本品系吡咯烷酮和乙炔在加压下生成乙烯基吡咯烷酮单体,在催化剂作用下聚合得到的1-乙烯基-2-吡咯烷酮均聚物,分子式为(C6H9NO)n,其中n代表1-乙烯基-2-吡咯烷酮链节的平均数。按无水物计算,含氮(N)量应为11.5%~12.8%。
【性状】本品为白色粉末或颗粒或片状薄片。
【鉴别】(1)取本品水溶液(1→50)2ml,加1mol/L盐酸溶液2ml与重铬酸钾试液数滴,即生成橙黄色沉淀。
(2)取本品水溶液(1→50)3ml,加碘试液1~2滴,即生成棕红色沉淀,搅拌,溶解成棕红色溶液。
(3)取本品适量,置105℃干燥6小时,依法测定,本品的红外光吸收图谱应与对照图谱(附图)一致(通则0402)。
【检查】酸度 取本品1.0g,加水20ml溶解后,依法检查(通则0631),pH值应为4.0~7.0。
溶液的澄清度与颜色 取本品1.0g,加水20ml溶解后,依法检查(通则0901与通则0902),溶液应澄清无色;如显浑浊,与1号浊度标准液(通则0902第一法)比较,不得更浓;如显色,与黄色1号或棕红色2号标准比色液(通则0901第一法)比较,不得更深。
K值 取本品1.00g(按无水物计算),精密称定,置100ml量瓶中,加水使溶解并稀释至刻度,在25℃±0.2℃恒温水浴中放置1小时后,依法检查(通则0633第二法),测得相对黏度ηr,按下式计算K值,应为81.0~97.2。
式中 W为供试品的重量(按无水物计算),g。
醛 取本品1.0g,置100ml量瓶中,加磷酸盐缓冲液(取磷酸二氢钾1.74g,加水80ml溶解后,用1mol/L氢氧化钾溶液调节pH值至9.0,再用水稀释至100ml,即得)溶解并稀释至刻度,摇匀,密塞,在60℃恒温水浴中放置1小时后,放冷,作为供试品溶液。
取乙醛合氨三聚体0.140g,置200ml量瓶中,加水溶解并稀释至刻度,摇匀,精密量取1ml,置100ml量瓶中,用磷酸盐缓冲液稀释至刻度,摇匀,作为对照品溶液。
精密量取供试品溶液0.5ml,置比色皿中,依次加磷酸盐缓冲液2.5ml,烟酰胺腺嘌呤二核苷酸溶液(取β-烟酰胺腺嘌呤二核苷酸适量,置玻璃瓶中,加磷酸盐缓冲液溶解并稀释制成每1ml中约含4mg的溶液,4℃存放,4周内稳定)0.2ml,加盖,混匀,在22℃±2℃水浴中放置2~3分钟,以水为参比,照紫外-可见分光光度法(通则0401),在340nm的波长处测定吸光度;再在同一比色皿中加醛脱氢酶溶液(取低压冻干粉醛脱氢酶适量,置玻璃瓶中,加水溶解并稀释制成每1ml中约含7U的溶液,4℃存放,8小时内稳定)0.05ml,加盖,混匀,在22℃±2℃水浴中放置5分钟,以水为参比,在340nm的波长处测定吸光度。另取空白溶液(水)、对照品溶液同法操作。按下式计算醛含量,以乙醛计,不得过0.05%。
式中 At1为加醛脱氢酶前供试品溶液吸光度;
At2为加醛脱氢酶后供试品溶液吸光度;
As1为加醛脱氢酶前对照品溶液吸光度;
As2为加醛脱氢酶后对照品溶液吸光度;
Ab1为加醛脱氢酶前空白液吸光度;
Ab2为加醛脱氢酶后空白液吸光度;
C为对照品溶液浓度,mg/ml(乙醛合氨三聚体折算为乙醛的系数为0.72);
m为取样量(按无水物计算),g。
N-乙烯-2-吡咯烷酮 取本品约0.25g,精密称定,置10ml量瓶中,加流动相溶解并稀释至刻度,摇匀,作为供试品溶液。
取N-乙烯-2-吡咯烷酮对照品适量,精密称定,加甲醇溶解并定量稀释制成每1ml中约含5μg的溶液,精密量取5ml,置100ml量瓶中,用流动相稀释至刻度,摇匀,作为对照品溶液。
取N-乙烯-2-吡咯烷酮对照品和乙酸乙烯酯适量,加适量甲醇使溶解,用流动相稀释并制成每1ml中约含N-乙烯-2-吡咯烷酮1μg与乙酸乙烯酯50μg的溶液,作为系统适用性溶液。
照高效液相色谱法(通则0512)测定。用十八烷基硅烷键合硅胶为填充剂,以乙腈-水(10∶90)为流动相,检测波长为235nm。取系统适用性溶液20μl注入液相色谱仪,N-乙烯-2-吡咯烷酮峰与乙酸乙烯酯峰的分离度应大于6.0。供试品溶液中N-乙烯-2-吡咯烷酮峰与相邻色谱峰的分离度应符合要求。
精密量取供试品溶液与对照品溶液各20μl,分别注入液相色谱仪,记录色谱图,按外标法以峰面积计算,不得过0.001%。
2-吡咯烷酮 取本品适量,精密称定,加水溶解并定量稀释制成每1 ml中约含5 mg的溶液,作为供试品溶液。
取2-吡咯烷酮对照品适量,精密称定,加水溶解并定量稀释制成每1 ml中约含0.1 mg的溶液,作为对照品溶液。
照高效液相色谱法(通则0512)测定。用十八烷基硅烷键合硅胶为填充剂,以水-乙腈-甲醇为流动相(90∶5∶5),检测波长为205nm。精密量取对照品溶液20μl注入液相色谱仪,进样6次,峰面积的相对标准偏差不得过2.0%。
精密量取对照品溶液与供试品溶液各20μl,分别注入液相色谱仪,记录色谱图,按外标法以峰面积计算,不得过2.0%。
甲酸 取本品2.0g(按无水物计算),精密称定,置100ml量瓶中,加水溶解并稀释至刻度,摇匀,作为供试品贮备液。将强酸性离子交换树脂混悬液转移至内径为0.8cm的玻璃柱中,填充成长度为20mm,并使强酸性离子交换树脂层一直浸没在水中。加入水5ml,调整流速至每分钟1ml左右。当液面降低至接近强酸性离子交换树脂层的顶部时,将供试品贮备液加入柱内,弃去前2ml流出液,然后收集流出液1.5ml作为供试品溶液。
取甲酸对照品适量,精密称定,加水溶解并定量稀释制成每1ml中约含10μg的溶液,作为对照品溶液。
照高效液相色谱法(通则0512)测定,用强酸性离子交换树脂为填充剂,以高氯酸-水(1∶699)为流动相,检测波长为210nm。供试品溶液中甲酸峰与相邻峰的分离度应符合要求。
精密量取对照品溶液与供试品溶液各50μl,分别注入液相色谱仪,记录色谱图,按外标法以峰面积计算,不得过0.5%。
过氧化物 取本品4.0g(按无水物计算),置100ml量瓶中,加水溶解并稀释至刻度,摇匀,作为贮备液。
精密量取25ml,加三氯化钛-硫酸溶液2.0ml,摇匀,放置30分钟,作为供试品溶液。[三氯化钛-硫酸溶液的配制:量取15%三氯化钛溶液(取三氯化钛15g溶于稀盐酸100ml中,或使用商品化的三氯化钛(Ⅲ)溶液)20ml,在冰浴下与硫酸13ml小心混合均匀,加适量浓过氧化氢溶液至出现黄色,加热至冒白烟,放冷,反复用水稀释并蒸发至溶液近无色,加水得无色溶液,并加水至100ml,摇匀,即得。]
另精密量取贮备液25ml,加13%硫酸溶液2.0ml,摇匀,放置30分钟,作为空白溶液。
照紫外-可见分光光度法(通则0401),在405nm的波长处测定吸光度,不得过0.35(相当于0.04%的H2O2)。
肼 取本品2.5g,精密称定,置50ml离心管中,加水25 ml使溶解,加5%水杨醛甲醇溶液0.5 ml,摇匀,置60℃的水浴中加热1 5分钟,放冷,加甲苯2.0ml,密塞,剧烈振摇2分钟,离心,取甲苯层的上清液作为供试品溶液。
精密称取水杨醛吖嗪对照品适量,加甲苯溶解并定量稀释制成每1ml中约含9μg的溶液,作为对照品溶液。
照薄层色谱法(通则0502)试验,吸取上述两种溶液各10μl,分别点于同一二甲基硅烷化硅胶薄层板,以甲醇-水(2∶1)为展开剂,展开至溶剂前沿至薄层板3/4处,取出,晾干,置紫外灯(365nm)下检视,水杨醛吖嗪比移值(Rf)约为0.3,供试品溶液如显与对照品溶液相应的荧光斑点,其荧光强度与对照品溶液的斑点比较,不得更强(0.0001%)。
水分 取本品,照水分测定法(通则0832第一法1)测定,含水分不得过5.0%。
炽灼残渣 取本品1.0g,依法检查(通则0841),遗留残渣不得过0.1%。
含氮量 取本品约0.1g,精密称定,置凯氏定氮瓶中,依次加入硫酸钾10g和硫酸铜0.5g,沿瓶壁缓缓加硫酸20ml,在凯氏定氮瓶口放一小漏斗,用直火缓缓加热,溶液呈澄明的绿色后,继续加热30分钟,放冷。转移至1 00 ml量瓶中,加水稀释至刻度,摇匀。精密吸取1 0 ml,照氮测定法(通则0 704第二法或第三法)测定,馏出液用硫酸滴定液(0.00 5 mol/L)滴定,并将滴定的结果用空白试验校正。按无水物计算,含氮量应为1 1.5%~1 2.8%。
【类别】黏合剂和助溶剂等。
【贮藏】遮光,密封保存。
本品为动物的皮、骨、腱与韧带中胶原蛋白不完全酸水解、碱水解或酶降解后纯化得到的制品,或为上述三种不同明胶制品的混合物。 【性状】本品为微黄色至黄色、透明或半透明微带光泽的薄片或粉粒;浸在水中时会膨胀变软,能吸收其自身质量5~10倍的水。 本品在热水中易溶,在醋酸或甘油与水的热混合液中溶解,在乙醇中不溶。 【鉴别】(1)取本品0.5g,加水50ml,加热使溶解,取溶液5ml,加重铬酸钾试液-稀盐酸(4∶1)的混合液数滴,即产生橘黄色絮状沉淀。 (2)取鉴别(1)项下剩余的溶液1ml,加水100ml,摇匀后,加鞣酸试液数滴,即发生浑浊。 (3)取本品,加钠石灰后,加热,即发生氨臭。 【检查】凝冻强度(仅限硬胶囊) 取本品两份各7.50g,分别置内径为59mm±1mm的冻力瓶中,加水105g,用橡胶塞密塞,在室温下放置1~4小时,使供试品充分吸水膨胀,在65℃±2℃的水浴中搅拌加热15分钟使溶散均匀,取冻力瓶置磁力搅拌器上,打开瓶塞,加磁力搅拌子,再盖上橡胶塞,磁力搅拌5分钟,使溶液分散均匀,并使凝结在冻力瓶内壁的水混合到溶液中,制成6.67%的供试胶液。在室温条件放置,使瓶内的胶液温度降至约30℃后,再将冻力瓶放入已调节水平的恒温水浴箱中,在10℃±0.1℃中保温16~18小时后,迅速取出冻力瓶,擦干外壁水珠,打开冻力瓶的橡胶塞,将冻力瓶放置在凝胶强度测定仪的测试平台上,使冻力瓶的中心在探头正下方,采用直径为12.7mm±0.1mm且底部边缘锐利的圆柱型探头,以每秒0.5mm的下行速度,测定探头下压至凝胶表面下凹4mm处的凝冻强度,取两份供试品测定结果的平均值,即得。凝冻强度应在标示值的±20%以内,两份供试品测量值的绝对差值不得过10Bloom g。 酸碱度 取本品1.0g,加水100ml,加盖,放置1~4小时后,在65℃±2℃的水浴中加热15分钟,充分搅拌使供试品溶散均匀,放冷至35℃,依法测定(通则0631),pH值应为4.0~7.2。 透光率 取本品7.5g,加水105g,加盖,放置1~4小时,在65℃±2℃的水浴中加热15分钟,充分搅拌使供试品溶散均匀,制成6.67%的供试胶液,冷却至45℃,照紫外-可见分光光度法(通则0401)分别在450nm和620nm的波长处测定透光率,分别不得低于50%和70%。 电导率 取本品1.0g,加水99g,加盖,放置1~4小时后,在65℃±2℃的水浴中加热15分钟,充分搅拌使供试品溶散均匀,制成1.0%的胶液,作为供试品溶液,另取水100ml作为空白溶液,将供试品溶液与空白溶液置于30℃±1℃的水浴中保温1小时后,用电导率仪测定,以铂黑电极作为测定电极,先用空白溶液冲洗电极3次后,测定空白溶液的电导率,其电导率值应不得过5.0μS/cm。取出电极,再用供试品溶液冲洗电极3次后,测定供试品溶液的电导率,应不得过0.5mS/cm。 亚硫酸盐(以SO2计) 取本品20g,置长颈圆底烧瓶中,加水50ml,放置使溶胀后,加稀硫酸50ml,即时连接冷凝管,用水蒸气蒸馏,馏液导入过氧化氢试液(对甲基红-亚甲蓝混合指示液显中性)20ml中,至馏出液达80ml,停止蒸馏;馏出液中加甲基红-亚甲蓝混合指示液数滴,用氢氧化钠滴定液(0.02mol/L)滴定至溶液显草绿色,并将滴定的结果用空白试验校正,每1ml氢氧化钠滴定液(0.02mol/L)相当于0.64mg的亚硫酸盐(以SO2计),消耗氢氧化钠滴定液(0.02mol/L)不得过1.6ml(0.005%)。 过氧化物 取本品10g,置250ml具塞烧瓶中,加水140ml,放置2小时,在50℃的水浴中加热迅速溶解,立即冷却,加硫酸溶液(1→5)6ml,碘化钾0.2g,1%淀粉溶液2ml与0.5%钼酸铵溶液1ml,密塞,摇匀,置暗处放置10分钟,溶液不得显蓝色。另取水140ml,同法操作,溶液不得显蓝色。 干燥失重 取本品,在105℃干燥15小时,减失重量不得过15.0%(通则0831)。 炽灼残渣 取本品1.0g,依法检查(通则0841),遗留残渣不得过2.0%。 铬 取本品0.5g,精密称定,置聚四氟乙烯消解罐内,加硝酸5~10ml,混匀,100℃预消解2小时后,盖好内盖,旋紧外套,置适宜的微波消解炉内,进行消解。消解完全后,取消解内罐置电热板上缓缓加热至红棕色蒸气挥尽并近干,用2%硝酸溶液转入50ml聚四氟乙烯量瓶中,并稀释至刻度,摇匀,作为供试品溶液;同法制备空白溶液;另取铬单元素标准溶液,用2%硝酸溶液稀释制成每1ml中含铬1.0μg的铬标准贮备液,临用时,分别精密量取适量,用2%硝酸溶液制成每1ml含铬0~80ng的对照品溶液。取供试品溶液与对照品溶液,以石墨炉为原子化器,照原子吸收分光光度法(通则0406第一法),在357.9nm的波长处测定,或照电感耦合等离子体质谱法(通则0412第一法)测定。计算,即得,含铬不得过百万分之二。如需要仲裁时,以电感耦合等离子体质谱法(通则0412第一法)的测定结果为准。 重金属 取炽灼残渣项下遗留的残渣,依法检查(通则0821第二法),含重金属不得过百万分之二十。 砷盐 取本品2.0g,加淀粉0.5g与氢氧化钙1.0g,加水少量,搅拌均匀,干燥后,先用小火炽灼使炭化,再在500~600℃炽灼使灰化完全,放冷,加盐酸8ml与水20ml溶解后,依法检查(通则0822第一法),应符合规定(0.0001%)。 微生物限度 取本品,依法检查(通则1105与通则1106),每1g供试品中需氧菌总数不得过103cfu,霉菌和酵母总菌数不得过102cfu,不得检出大肠埃希菌;每10g供试品中不得检岀沙门菌。 【类别】药用辅料,用于硬胶囊等。 【贮藏】密封,在干燥处保存。
胶囊用明胶
联系电话:18892005891
【性状】 本品为棕黑色的黏稠性液体;有特臭。 本品在水中溶解。 【鉴别】 (1)取本品,加等量的氢氧化钠试液,加热,即发生氨臭。 (2)取本品约1g,加水50ml溶解后,加盐酸少量,即生成棕褐色沉淀;放置后在容器壁及底部附着黑褐色树脂状沉淀。
【检查】 水中溶解度 取本品0.50g,置100ml烧杯中,加水50ml,搅拌溶解后,移置50ml纳氏比色管中,于距离25W白炽灯泡10~20㎝处观察,应为均匀的棕色溶液,不得有溶质的颗粒或液滴。 甘油中溶解度 取本品1.0g,加甘油9ml,应完全溶解。
【含最测定】 总硫量 取本品约0.5g,精密称定,置坩埚内,加无水碳酸钠4g与三氯甲烷3ml,混匀,微热并搅拌使三氯甲烷挥散,捣碎,加硝酸铜粗粉10g,搅匀,用小火缓缓加热,至氧化完全,稍加强火力炽灼至完全炭化,放冷,加盐酸20ml,俟作用完毕,用水约100ml分次将熔融物移置烧杯中,
【贮藏】 密封,在阴凉处保存。
本品系由豆科植物大豆Glycine max(L.)Merr.的种子提炼制成的脂肪油。 【性状】 本品为淡黄色的澄清液体。 本品可与三氯甲烷或乙醚混溶,在乙醇中极微溶解,在水中几乎不溶。 相对密度 本品的相对密度(通则0601)为0.916~0.922。 折光率 本品的折光率(通则0622)为1.472~1.476。 酸值 本品的酸值(通则0713)应不大于0.1。 碘值 本品的碘值(通则0713)应为126~140。 过氧化值 取本品10.0g,依法测定(通则0713),过氧化值应不大于3.0。 皂化值 本品的皂化值(通则0713)应为188~195。 【鉴别】 在脂肪酸组成项下记录的色谱图中,供试品溶液中棕榈酸甲酯峰、硬脂酸甲酯峰、油酸甲酯峰、亚油酸甲酯峰、亚麻酸甲酯峰的保留时间应分别与对照品溶液中相应峰的保留时间一致。 【检查】 吸光度 取本品,照紫外-可见分光光度法(通则0401)测定,以水为空白,在450nm波长处的吸光度不得过0.045。 不皂化物 取本品5.0g,依法测定(通则0713),不皂化物不得过1.0%。 棉籽油 取本品5ml,置试管中,加1%硫黄的二硫化碳溶液与戊醇的等容混合液5ml,置饱和氯化钠水浴中,注意缓缓加热至泡沫停止(除去二硫化碳),继续加热15分钟,不得显红色。 碱性杂质 取本品,依法测定(通则0713),消耗盐酸滴定液(0.01mol/L)的体积不得过0.1ml。 水分 取本品,以无水甲醇-癸醇(1∶1)为溶剂,照水分测定法(通则0832第一法 1)测定,含水分不得过0.1%。 重金属 取本品5.0g,置50ml瓷蒸发皿中,加硫酸4ml,混匀,用低温缓缓加热至硫酸除尽后,加硝酸2ml与硫酸5滴,小火加热至氧化氮气除尽后,在500~600℃炽灼使完全灰化,放冷,依法检查(通则0821第二法),含重金属不得过百万分之二。 砷盐 取本品5.0g,置石英或铂坩埚中,加硝酸镁乙醇溶液(1→50)10ml,点火燃烧后缓缓加热至灰化。如果含有炭化物,加少量硝酸湿润后,再强热至灰化,放冷,加盐酸5ml,置水浴上加热使溶解,加水23ml,依法检查(通则0822第一法),应符合规定(0.00004%)。 脂肪酸组成 取本品0.1g,置50ml回流瓶中,加0.5mol/L氢氧化钾甲醇溶液2ml,在65℃水浴中加热回流30分钟,放冷,加15%三氟化硼甲醇溶液2ml,再在65℃水浴中加热回流30分钟,放冷,加正庚烷4ml,继续在65℃水浴中加热回流5分钟后,放冷,加饱和氯化钠溶液10ml洗涤,摇匀,静置使分层,取上层液,用水洗涤3次,每次2ml,取上层液经无水硫酸钠干燥,作为供试品溶液;分别取肉豆蔻酸甲酯、棕榈酸甲酯、棕榈油酸甲酯、硬脂酸甲酯、油酸甲酯、亚油酸甲酯、亚麻酸甲酯、花生酸甲酯、二十碳烯酸甲酯与山嵛酸甲酯对照品,加正庚烷溶解并稀释制成每1ml中各约含0.1mg的溶液,作为对照品溶液。照气相色谱法(通则0521)试验,以键合聚乙二醇(或极性相近)为固定液的毛细管柱为色谱柱,起始温度为230℃,维持11分钟,以每分钟5℃的速率升温至250℃,维持10分钟;进样口温度为260℃;检测器温度为270℃。取对照品溶液1μl注入气相色谱仪,记录色谱图,理论板数按亚油酸峰计算不低于5000,各色谱峰的分离度应符合要求。取供试品溶液1μl注入气相色谱仪,记录色谱图。按面积归一化法计算,含小于十四碳的饱和脂肪酸不得过0.1%,肉豆蔻酸不得过0.2%,棕榈酸应为9.0%~13.0%,棕榈油酸不得过0.3%,硬脂酸应为2.5%~5.0%,油酸应为17.0%~30.0%,亚油酸应为48.0%~58.0%,亚麻酸应为5.0%~11.0%,花生酸不得过1.0%,二十碳烯酸不得过1.0%,山嵛酸不得过1.0%。 微生物限度 取本品,依法检查(通则1105与通则1106与通则1107),应符合规定。 【类别】 药用辅料,溶剂和分散剂等。 【贮藏】 遮光,密封,在凉暗处保存。
本品为淀粉在碱性条件下与氯乙酸作用生成的淀粉羧甲基醚的钠盐。 【性状】本品为白色或类白色粉末。 本品在乙醇中不溶。 【鉴别】(1)取本品适量,用液体石蜡装片(通则2001),置显微镜下观察。马铃薯淀粉特征为单粒,呈卵圆形或梨形,直径在30~100μm,偶见超过100μm;或圆形,大小为10~35μm;偶见有2~4个淀粉粒组成的复合颗粒;呈卵圆形或梨形的颗粒,脐点偏心;呈圆形的颗粒,脐点无中心或略带不规则脐点;在偏光显微镜下,十字交叉位于颗粒脐点处。玉米淀粉特征为单粒,呈多角形或类圆形,直径在5~30μm;脐点中心性,呈圆点状或星状;层纹不明显;在偏光显微镜下观察,十字交叉位于颗粒脐点处。A、B、C型应符合马铃薯淀粉显微特征,D型应符合玉米淀粉显微特征。 (2)取本品约0.1g,加水5ml,摇匀,加碘试液1滴,即显蓝色。 (3)本品显钠盐鉴别(1)的反应(通则0301)。 【检查】酸碱度 取本品1.0g,加水100ml振摇分散后,依法测定(通则0631),应符合附表规定。 氯化钠 取本品约0.5g,精密称定,置250ml锥形瓶中,加水150ml,摇匀,加铬酸钾指示液1ml,用硝酸银滴定液(0.1mol/L)滴定。每1ml硝酸银滴定液(0.1mol/L)相当于5.844mg的NaCl。按干燥品计算,应符合附表规定。 乙醇酸钠 避光操作。取本品0.2g,精密称定,置烧杯中,加5mol/L醋酸溶液与水各5ml,搅拌约15分钟至乙醇酸钠溶解;加丙酮50ml与氯化钠1g,搅拌使羧甲淀粉完全沉淀,滤过,滤液置100ml量瓶中,加丙酮稀释至刻度,摇匀;静置24小时,取上清液作为供试品溶液。取室温减压干燥12小时的乙醇酸0.310g,精密称定,置500ml量瓶中,加水溶解并稀释至刻度,摇匀,精密量取5ml,置100ml量瓶中,加5mol/L醋酸溶液5ml,静置30分钟,加丙酮80ml和氯化钠1g,摇匀,加丙酮稀释至刻度,摇匀,静置24小时,作为对照溶液。取供试品溶液和对照溶液各2.0ml,分别置25ml纳氏比色管中,水浴加热至丙酮挥去,放冷,加2,7-二羟基萘硫酸溶液(取2,7-二羟基萘10mg,加硫酸100ml溶解,放置至颜色褪去,2天内使用)20ml,密塞,摇匀,置水浴中加热20分钟,冷却。供试品溶液与对照溶液比较,颜色不得更深。必要时,取上述两种溶液,照紫外-可见分光光度法(通则0401),10分钟内,在540nm波长处测定吸光度,计算,含乙醇酸钠不得过2.0%。 氯乙酸 取本品约0.5g,精密称定,置50ml离心管中,加水适量,振摇约1分钟,离心,将上清液定量转移至25ml量瓶中,残渣再用水同法提取两次,合并上清液至同一25ml量瓶中,用水稀释至刻度,摇匀,滤过,取续滤液作为供试品溶液;取氯乙酸对照品约50mg,精密称定,置50ml量瓶中,用水稀释至刻度,精密量取适量,用水稀释制成每1ml中含氯乙酸40μg的溶液,作为对照品溶液。取氯乙酸和氯化钠适量,用水溶解并稀释制成每1ml中各含2μg的混合溶液,作为系统适用性溶液。照离子色谱法(通则0513)试验,以烷醇季铵为功能基的乙基乙烯基苯-二乙烯基苯聚合物树脂作为填料的阴离子交换色谱柱(或效能相当的色谱柱);柱温30℃;淋洗液为10mmol/L氢氧化钾溶液,流速为每分钟1.0ml;抑制型电导检测器,检测池温度为35℃。精密量取系统适用性溶液25μl,注入离子色谱仪,记录色谱图,氯乙酸峰与氯离子峰的分离度应符合要求。精密量取供试品溶液与对照品溶液各25μl,分别注入离子色谱仪,按外标法以峰面积计算,含氯乙酸不得过0.2%。 干燥失重 取本品,在130℃干燥90分钟,应符合附表规定(通则0831)。 铁盐 取本品0.50g,置坩埚中,缓缓炽灼至完全炭化,放冷;加硫酸0.5ml使湿润,低温加热至硫酸蒸气除尽后,在550~600℃炽灼使完全灰化,放冷,加稀盐酸4ml,在60℃水浴中加热10分钟,同时搅拌使溶解,放冷(必要时滤过),移至50ml纳氏比色管中,依法检查(通则0807),与标准铁溶液1.0ml用同一方法制成的对照液比较,不得更深(0.002%)。 重金属 取本品1.0g,依法检查(通则0821第二法),含重金属不得过百万分之二十。 微生物限度 取本品,依法检查(通则1105与通则1106),每1g供试品中需氧菌总数不得过103cfu,霉菌和酵母菌总数不得过102cfu,不得检出大肠埃希菌。 【含量测定】取本品1g,置锥形瓶中,加入80%乙醇20ml,搅拌,过滤;重复操作至滤液用硝酸银试液检查不含氯化物为止。取滤渣在105℃干燥至恒重,取约0.45g,精密称定,置150ml锥形瓶中,加冰醋酸50ml,摇匀,沸水浴上加热回流2小时,放冷,移至100ml烧杯中,锥形瓶用冰醋酸洗涤3次,每次5ml,洗液并入烧杯中,照电位滴定法(通则0701),用高氯酸滴定液(0.1mol/L)滴定,并将滴定的结果用空白试验校正。每1ml高氯酸滴定液(0.1mol/L)相当于2.299mg的Na。按80%乙醇溶液洗过的干燥品计算,应符合附表规定。 【类别】药用辅料,崩解剂和填充剂等。 【贮藏】密封,在干燥处保存。
羧甲淀粉钠
C12H19Cl3O8 397.64 [56038-13-2] 本品为1,6-二氯-1,6-二脱氧-β-D-呋喃果糖-4-氯-4-脱氧-α-D-呋喃半乳糖苷。按干燥品计算,含C12H19Cl3O8 应为98.0%~102.0%。 【性状】 本品为白色或类白色结晶性粉末。 本品在水中易溶,在无水乙醇中溶解,在乙酸乙酯中微溶。 比旋度 取本品1.0g,精密称定,置100ml量瓶中,加水溶解并稀释至刻度,摇匀,依法测定(通则0621),比旋度为+84.0°至+87.5°。 【鉴别】 (1)取本品0.1g,加甲醇溶解并稀释制成每1ml中含10mg的溶液,作为供试品溶液;另取三氯蔗糖对照品适量,加甲醇溶解并稀释制成每1ml中含10mg的溶液,作为对照品溶液。照有关物质检查项下的色谱条件试验,供试品溶液所显主斑点的位置与颜色应与对照品溶液的主斑点相同。 (2)在含量测定项下记录的色谱图中,供试品溶液主峰的保留时间应与对照品溶液主峰的保留时间一致。 (3)本品的红外光吸收图谱应与对照品的图谱一致(通则0402)。 以上(1)、(2)两项可选做一项。 【检查】 水解产物 取本品2.5g,置10ml量瓶中,加甲醇溶解并稀释至刻度,摇匀,作为供试品溶液;取甘露醇对照品适量,加水溶解并定量稀释制成每1ml中含0.1g的溶液,作为对照品溶液(1);另取甘露醇和果糖对照品适量,加水溶解并定量稀释制成每1ml中含0.1g和0.4mg的混合溶液,作为对照品溶液(2)。分别吸取对照品溶液(1)、(2)和供试品溶液各5μl,分别点于同一硅胶G薄层板上,每次点样要待干燥后再继续点,每个点的面积要基本相同,点样完毕后用显色剂(取对-茴香胺1.23g和邻苯二甲酸1.66g,加甲醇100ml溶解,溶液存放在暗处并冷藏,如溶液褪色则失效)喷雾后,在100℃±2℃加热15分钟,立即在阴暗背景下检视。供试品溶液的斑点不得深于对照品溶液(2)的斑点;对照品溶液(1)应显白色斑点,如果斑点变黑,即薄层板加热时间过长,需重试。 有关物质 取本品适量,精密称定,加甲醇溶解并定量稀释制成每1ml中含0.1g的溶液,作为供试品溶液;精密量取供试品溶液1ml,置200ml量瓶中,用甲醇稀释至刻度,作为对照溶液。照薄层色谱法(通则0502)试验,分别吸取供试品溶液和对照溶液各5μl,分别点于同一十八烷基硅烷键合硅胶薄层板(Whatman Partisil LKC18F板或效能相当的薄层板)上,以5%氯化钠溶液-乙腈(70∶30)为展开剂,展距15cm,取出,晾干,喷以15%硫酸甲醇溶液,在125℃加热10分钟,立即检视。供试品溶液如显杂质斑点,其颜色与对照溶液的主斑点比较,不得更深(0.5%)。 甲醇 取本品约0.4g,精密称定,置顶空瓶中,精密加水2ml溶解,精密加内标溶液(取异丙醇适量,精密称定,用水稀释制成每1ml中含0.1mg的溶液)2ml,密封,摇匀,作为供试品溶液;另取甲醇适量,精密称定,用水稀释制成每1ml中含0.2mg的溶液,精密量取2ml,置顶空瓶中,精密加内标溶液2ml,密封,摇匀,作为对照品溶液。照气相色谱法(通则0521)测定,用6%氰丙基苯基-94%二甲基聚硅氧烷为固定相;起始温度为35℃,维持5分钟,以每分钟50℃的速率升温至200℃,维持5分钟;进样口温度为220℃;检测器温度为250℃;顶空瓶平衡温度为80℃,平衡时间为30分钟。取对照品溶液与供试品溶液分别顶空进样,记录色谱图,按内标法以峰面积计算,含甲醇不得过0.1%。 水分 取本品0.5g,照水分测定法(通则0832第一法)测定,含水分不得过2.0%。 炽灼残渣 取本品1.0g,依法检查(通则0841),遗留残渣不得过0.7%。 重金属 取炽灼残渣项下遗留的残渣,依法检查(通则0821第二法),含重金属不得过百万分之十。 【含量测定】 照高效液相色谱法(通则0512)测定。 色谱条件与系统适用性试验 用十八烷基硅烷键合硅胶为填充剂,以水-乙腈(85∶15)为流动相,示差折光检测器,流速为每分钟1.0ml。理论板数按三氯蔗糖峰计算不低于2000。 测定法 取本品适量,精密称定,加流动相溶解并定量稀释制成每1ml中含10mg的溶液,作为供试品溶液,精密量取20μl注入液相色谱仪,记录色谱图;另取三氯蔗糖对照品,同法测定。按外标法以峰面积计算,即得。 【类别】药用辅料,矫味剂和甜味剂等。 【贮藏】遮光,密封保存,温度不超过25℃。 注:本品遇光和热颜色易变深。
C12H22O11·2H2O 378.33 [6138-23-4] 本品由食用级淀粉酶解而成。为两个吡喃环葡萄糖分子以1,1-糖苷键连接而成的非还原性双糖,可分为无水物和二水合物。按无水物计算,含C12H22O11应为98.0%~102.0%。 【性状】本品为白色或类白色结晶性粉末。 无水海藻糖在水中易溶,在甲醇或乙醇中几乎不溶。二水海藻糖在水中易溶,在甲醇中微溶,在乙醇中几乎不溶。 比旋度 取本品,精密称定,加水溶解并定量稀释制成每 l ml 中约含 100 mg的溶液,依法测定(通则0621),比旋度为+197°至+201°。 【鉴别】(1)取本品 2 g,加水 5 ml 使溶解,取 l ml,加α-萘酚乙醇溶液(1→20)0.4 ml,沿容器壁缓慢加入硫酸0.5ml,溶液即在两液界面处产生紫色环。 (2) 取本品0.2g,加水5ml溶解,作为供试品溶液;取甘氨酸0.2g,加水5ml溶解,作为甘氨酸溶液。量取供试品溶液2ml,加入稀盐酸1ml,室温静置20分钟;再加入氢氧化钠试液4ml和甘氨酸溶液2ml,于水浴中加热10分钟后,溶液不显棕色。 (3) 在含量测定项下记录的色谱图中,供试品溶液主峰的保留时间应与对照品溶液的主峰保留时间一致。 (4) 本品的红外光吸收图谱应与对照品的图谱一致(通则0402)。 【检查】酸度 取本品1.0g(按无水物计算),加水10ml使溶解,依法测定(通则0631),pH值应为4.5~6.5。 溶液的澄清度与颜色 取本品33.0g(按无水物计算),置100ml量瓶中,加新沸放冷的水充分振摇使溶解,照紫外-可见分光光度法(通则0401),在420nm与720nm波长处测定吸光度。在720nm波长处的吸光度值不得过0.033,420nm与720nm波长处的吸光度差值不得过0.067。 氯化物 取本品0.40g,依法检查(通则0801),与标准氯化钠溶液5.0ml制成的对照液比较,不得更浓(0.0125%)。 硫酸盐 取本品1.0g,依法检查(通则0802),与标准硫酸钾溶液2.0ml制成的对照液比较,不得更浓(0.020%)。 可溶性淀粉 取本品l.0g,加水10ml溶解后,加碘试液1滴,不得显蓝色。 有关物质 取本品适量,精密称定,加水溶解并定量稀释制成每1ml中约含10mg的溶液,作为供试品溶液;精密量取1ml,置100ml量瓶中,用水稀释至刻度,摇匀,作为对照溶液。照含量测定项下的色谱条件,取对照溶液10μl注入液相色谱仪,记录色谱图,主成分峰高的信噪比应大于10;再精密量取供试品溶液和对照溶液各10μl,分别注入液相色谱仪,记录色谱图。供试品溶液色谱图中,除溶剂峰外,供试品溶液主峰之前、之后的杂质峰面积之和分别不得大于对照溶液主峰面积的0.5倍(0.5%)。 水分 取本品,照水分测定法(通则0832)测定,含水分应为9.0%~11.0%;如为无水物,含水分不得过1.0%。 炽灼残渣 取本品,依法检查(通则0841),遗留残渣不得过0.1%。 重金属 取本品4.0g,加水23ml溶解后,加醋酸盐缓冲液(pH3.5)2ml,依法检查(通则0821第一法),含重金属不得过百万分之五。 微生物限度 取本品,依法检查(通则1105与通则1106),每1g供试品中需氧菌总数不得过103cfu,霉菌和酵母菌总数不得过102cfu,不得检出大肠埃希菌;每10g供试品中不得检出沙门菌。 细菌内毒素(供注射用) 取本品,依法检查(通则1143),每1mg海藻糖中含内毒素的量应小于0.05EU。 【含量测定】照高效液相色谱法(通则0512)测定。 色谱条件与系统适用性试验 釆用磺化交联的苯乙烯-二乙烯基苯共聚物为填充剂的强阳离子钠型(或氢型)色谱柱;以水为流动相;流速为每分钟0.4ml;柱温为80℃;示差折光检测器。取麦芽三糖、葡萄糖与海藻糖对照品适量,加水溶解并稀释制成每1ml中各含2.5mg、2.5mg、10mg的溶液,精密量取20μl注入液相色谱仪,重复进样3次,记录色谱图,主峰面积的相对标准偏差不得过2.0%,各色谱峰的分离度应符合要求。 测定法 取本品适量,精密称定,加水溶解并定量稀释制成每1ml中约含10mg的溶液,作为供试品溶液,精密量取20μl注入液相色谱仪,记录色谱图;另取海藻糖对照品适量,同法测定。按外标法以峰面积计算,即得。 【类别】药用辅料,矫味剂、甜味剂、冷冻干燥辅料、稀释剂、增稠剂和保湿剂等。 【贮藏】密封,阴凉、干燥处保存。
海藻糖
NaHCO3 84.01 [144-55-8] 本品系在碳酸钠饱和溶液中通入二氧化碳,生成碳酸氢钠,经干燥即得。或以氯化钠、氨、二氧化碳为原料,在一定条件下反应,生成碳酸氢钠和氯化铵,利用其溶解度差异经分离、干燥而得。按干燥品计,含NaHCO3不得少于99.0%。 【性状】本品为白色结晶性粉末。 本品在水中溶解,在乙醇中不溶。 【鉴别】本品的水溶液显钠盐与碳酸氢盐的鉴别反应(通则0301)。 【检查】碱度 取本品0.20g,加水20ml使溶解,依法测定(通则0631),pH值应不高于8.6。 溶液的澄清度 取本品1.0g,加水20ml溶解后,溶液与2号浊度标准液(通则0902第一法)比较,不得更浓。 氯化物 取本品0.15g,加水溶解并稀释至25ml,滴加硝酸使成微酸性后,置水浴中加热除尽二氧化碳,放冷,依法检查(通则0801),与标准氯化钠溶液3.0ml制成的对照液比较,不得更浓(0.02%)。 硫酸盐 取本品0.50g,加水溶解并稀释至40ml,滴加盐酸使成微酸性后,置水浴中加热以除尽二氧化碳,放冷,依法检查(通则0802),与标准硫酸钾溶液1.5ml制成的对照液比较,不得更浓(0.03%)。 铵盐 取本品1.0g,加氢氧化钠试液10ml,加热,发生的蒸气遇湿润的红色石蕊试纸不得变成蓝色。 干燥失重 取本品4.0g,置硅胶干燥器中干燥4小时,减失重量不得过0.25%(通则0831)。 铁盐 取本品1.0g,加水适量溶解后,加稀硝酸使成微酸性,煮沸1分钟,放冷,用水稀释至25ml,依法检查(通则0807),与标准铁溶液1.5ml制成的对照液比较,不得更深(0.0015%)。 重金属 取本品4.0g,加稀盐酸19ml与水5ml后,煮沸5分钟,放冷,加酚酞指示液1滴,并滴加氨试液至溶液显粉红色,放冷,加醋酸盐缓冲液(pH3.5)2ml与水适量至25ml,依法检查(通则0821第一法),含重金属不得过百万分之五。 砷盐 取本品1.0g,加水23ml溶解后,加盐酸5ml,依法检查(通则0822第一法),应符合规定(0.0002%)。 【含量测定】取本品约1g,精密称定,加水50ml使溶解,加甲基红-溴甲酚绿混合指示液10滴,用盐酸滴定液(0.5mol/L)滴定至溶液由绿色转变为紫红色,煮沸2分钟,冷却至室温,继续滴定至溶液由绿色变为暗紫色。每1ml盐酸滴定液(0.5mol/L)相当于42.00mg的NaHCO3。 【类别】药用辅料,碱化剂等。 【贮藏】密封,在干燥处保存。 注:本品在潮湿空气中即缓缓分解。水溶液放置稍久,或振摇,或加热,碱性即增强。