药智官方微信 药智官方微博
客服 反馈

企业名片

西安天正药用辅料有限公司

产品供应

聚乙二醇4000
Juyierchun 4000
Polyethylene Glycol 4000
  本品为环氧乙烷和水缩聚而成的混合物。分子式以HO(CH2CH2O)nH表示,其中n代表氧乙烯基的平均数。
  【性状】本品为白色蜡状固体薄片或颗粒状粉末;略有特臭。
  本品在水中易溶,在乙醇中溶解。
  凝点  取本品,照凝点测定法(通则0613)测定,记录凝结过程中最高温度,应为50~56℃。
  黏度  取本品25.0g,置100ml量瓶中,加水溶解并稀释至刻度,摇匀,用毛细管内径为0.8mm的平氏黏度计,依法测定(通则0633第一法),在40℃时的运动黏度为5.5~9.0mm2/s。
  【鉴别】(1)取本品0.05g,加稀盐酸5ml和氯化钡试液1ml,振摇,滤过;在滤液中加入10%磷钼酸溶液1ml,产生黄绿色沉淀。
  (2)取本品0.1g,置试管中,加入硫氰酸钾和硝酸钴各0.1g,混合后,加入二氯甲烷5ml,溶液呈蓝色。
  【检查】平均分子量  取本品约12g,精密称定,置干燥的250ml具塞锥形瓶中,精密加邻苯二甲酸酐的吡啶溶液(取邻苯二甲酸酐14g,溶于无水吡啶100ml中,放置过夜,备用)25ml,摇匀,加少量无水吡啶于锥形瓶口边缘封口,置沸水浴中,加热60分钟,取出冷却,精密加入氢氧化钠滴定液(0.5mol/L)50ml,以酚酞的吡啶溶液(1→100)为指示剂,用氢氧化钠滴定液(0.5mol/L)滴定至显红色,并将滴定的结果用空白试验校正。供试量(g)与4000的乘积,除以消耗氢氧化钠滴定液(0.5mol/L)的容积(ml),即得供试品的平均分子量,应为3400~4200。
  酸度  取本品1.0g,加水20ml溶解后,依法测定(通则0631),pH值应为4.0~7.0。
  溶液的澄清度与颜色  取本品5.0g,加水50ml溶解后,依法检查(通则0901与通则0902),溶液应澄清无色;如显浑浊,与2号浊度标准液(通则0902第一法)比较,不得更浓;如显色,与黄色2号标准比色液(通则0901第一法)比较,不得更深。
  乙二醇、二甘醇、三甘醇  取本品4.0g,精密称定,置100ml量瓶中,精密加入内标溶液[取1,3-丁二醇适量,用无水乙醇-水(9:1)稀释成每1ml中约含4mg的溶液]1.0ml,加无水乙醇-水(9:1)稀释至刻度,摇匀,作为供试品溶液;另取乙二醇、二甘醇和三甘醇对照品适量,精密称定,加无水乙醇-水(9∶1)稀释配制成每1ml含乙二醇、二甘醇、三甘醇各4mg的对照品贮备溶液。再精密量取该溶液1.0ml,置100ml量瓶中,精密加入内标溶液1.0ml,加无水乙醇-水(9∶1)稀释至刻度,摇匀,作为对照品溶液。照气相色谱法(通则0521)试验。以50%苯基-50%甲基聚硅氧烷为固定液(30m×0.53mm,1μm),起始温度60℃,维持5分钟,以每分钟5℃的速率升温至110℃,维持5分钟,再以每分钟15℃的速率升温至170℃,维持5分钟,再以每分钟35℃的速率升温至280℃,维持40分钟(根据分离情况调整时间)。进样口温度为270℃,氢火焰离子化检测器温度为290℃。量取供试品溶液与对照品溶液各1μl,分别进样,记录色谱图。按内标法计算,含乙二醇、二甘醇与三甘醇均不得过0.1%。
  环氧乙烷和二氧六环  取本品1g,精密称定,置顶空瓶中,精密加入水1.0ml,密封,摇匀,作为供试品溶液。精密量取环氧乙烷水溶液对照品适量,用水稀释制成每1ml中约含2μg的溶液,作为环氧乙烷对照品溶液。另取二氧六环对照品适量,精密称定,用水制成每1ml中约含20μg的溶液,作为二氧六环对照品溶液。  取本品1g,精密称定,置顶空瓶中,精密加环氧乙烷对照品溶液与二氧六环对照品溶液各0.5ml,密封,摇匀,作为对照溶液。精密量取环氧乙烷对照品溶液及二氧六环对照品溶液各0.5ml置顶空瓶中,加新配制的0.001%乙醛溶液0.1ml,密封,摇匀,作为系统适用性(灵敏度)溶液。照气相色谱法(通则0521)试验,以5%苯基-95%甲基聚硅氧烷为固定液,起始温度为35℃,维持5分钟,以每分钟5℃的速率升温至180℃,然后以每分钟30℃的速率升温至250℃,维持5分钟(根据分离情况调整时间)。进样口温度为150℃,氢火焰离子化检测器温度为250℃,顶空平衡温度为70℃,平衡时间45分钟。取系统适用性(灵敏度)溶液顶空进样,调节检测灵敏度使环氧乙烷和二氧六环峰高的信噪比均大于5,乙醛峰和环氧乙烷峰的分离度不小于2.0。分别取供试品溶液及对照溶液顶空进样,重复进样至少3次。环氧乙烷峰面积的相对标准偏差应不得过15%,二氧六环峰面积的相对标准偏差应不得过10%,按标准加入法计算,环氧乙烷不得过0.0001%,二氧六环不得过0.001%。
  甲醛  取本品1g,精密称定,加入0.6%变色酸钠溶液0.25ml,在冰水中冷却后,加硫酸5ml,摇匀,静置15分钟,缓缓定量转移至盛有10ml水的25ml量瓶中,放冷,缓慢加水加至刻度,摇匀,作为供试品溶液。另取甲醛溶液适量,精密称定,置100ml量瓶中,加水稀释至刻度,制成每1ml含甲醛3mg的溶液,精密量取1ml,置100ml量瓶中,用水稀释至刻度;精密量取1ml,自“加入0.6%变色酸钠溶液0.25ml”起,同法操作,作为对照溶液。取上述两种溶液,照紫外-可见分光光度法(通则0401),在567nm波长处测定吸光度,并用同法操作的空白溶液进行校正。供试品溶液的吸光度不得大于对照溶液的吸光度(0.003%)。
  水分  取本品2.0g,照水分测定法(通则0832第一法1)测定,含水分不得过1.0%。
  炽灼残渣  取本品,依法检查(通则0841),遗留残渣不得过0.1%。
  重金属  取本品4.0g,加盐酸溶液(9→1000)5ml与水适量,溶解后,用稀醋酸或氨试液调节pH值至3.0~4.0,再加水稀释至25ml,依法检查(通则0821第一法),含重金属不得过百万分之五。
  【类别】药用辅料,软膏基质和润滑剂等。
  【贮藏】密闭保存。
  【标示】应标明重均分子量及分子量分布系数的标示值(可按下述测定方法测定)。
  分子量及分子量分布测定方法  分别称取聚乙二醇600、聚乙二醇1000、聚乙二醇4000、聚乙二醇7000、聚乙二醇10000分子量对照品适量,加流动相溶解并稀释制成每1ml中约含2mg的溶液作为对照品溶液。称取样品适量,加流动相溶解并稀释制成每1ml中约含2mg的溶液作为供试品溶液。照分子排阻色谱法(通则0514)测定,采用适宜分离范围的凝胶色谱柱,以0.1mol/L硝酸钠溶液(含0.02%抑菌剂)为流动相,示差折光检测器;检测器温度35℃,柱温35℃,取对照品溶液各100μl注入液相色谱仪,记录色谱图,由GPC软件计算回归方程,线性相关系数R应不得小于0.99。取供试品溶液100μl,同法测定,根据回归方程计算供试品的重均分子量及分子量分布。供试品的重均分子量应为标示值的90%~110%,分布系数应为产品标示值的90%~110%。
  注:抑菌剂为2-甲基-4-异噻唑啉-3-酮和5-氯-2-甲基-4-异噻唑啉-3-酮(如ProClin300)或其他抑菌效力相当的小分子抑菌剂。


联系电话:18892005891    

油酸山梨坦

Yousuan Shanlitan  

Sorbitan Oleate

[1338-43-8]

本品为山梨坦与油酸形成酯的混合物,系山梨醇脱水,在碱性催化剂下,与油酸酯化而制得;或由山梨醇与油酸在180~280℃下直接酯化而制得。

【性状】本品为淡黄色至黄色油状液体。

本品在水或丙二醇中不溶。

酸值 本品的酸值(通则0713)应不大于8。

羟值 本品的羟值(通则0713)应为190~215。

碘值 本品的碘值(通则0713)应为62~76。

过氧化值 本品的过氧化值(通则0713)应不大于10。

皂化值 本品的皂化值(通则0713)应为145~160(皂化时间1小时)。

【鉴别】照脂肪酸组成试验应符合规定。

【检查】脂肪酸组成 取本品0.1g,置25ml锥形瓶中,加入0.5mol/L的氢氧化钠甲醇溶液2ml,振摇至溶解,加热回流30分钟,沿冷凝管加14%的三氟化硼甲醇溶液2ml,加热回流30分钟,沿冷凝管加正庚烷4ml,加热回流5分钟,放冷,加饱和氯化钠溶液10ml,振摇15秒,加饱和氯化钠溶液至瓶颈部,混匀,静置分层,取上层液2ml,用水洗涤三次,每次2ml,取上层液经无水硫酸钠干燥,作为供试品溶液。

分别精密称取下列各脂肪酸甲酯对照品适量,用正庚烷溶解并稀释制成每1ml中含十四烷酸甲酯0.5mg、棕榈酸甲酯1.0mg、棕榈油酸甲酯0.5mg、硬脂酸甲酯0.5mg、油酸甲酯6.0mg、亚油酸甲酯1.0mg、亚麻酸甲酯0.5mg的混合对照品溶液(1),取1.0ml,置10ml量瓶中,用正庚烷稀释至刻度,摇匀,作为混合对照品溶液(2)。

照气相色谱法(通则0521)测定,以聚乙二醇为固定液的毛细管柱为色谱柱,初始温度170℃,以每分钟2℃的速率升温至230℃,维持10分钟,进样口温度250℃,检测器温度250℃,取混合对照品溶液(1)、(2)各1μl,分别注入气相色谱仪,记录色谱图,混合对照品溶液(1)中各组分脂肪酸甲酯峰间的分离度不小于1.8,理论板数按油酸甲酯峰计算不得低于30 000,混合对照品溶液(2)中最小脂肪酸甲酯峰的信噪比应大于5。

取供试品溶液1μl,注入气相色谱仪,按面积归一化法以峰面积计算,含十四烷酸不大于5.0%,棕榈酸不大于16.0%,棕榈油酸不大于8.0%,硬脂酸不大于6.0%,油酸为65.0%~88.0%,亚油酸不大于18.0%,亚麻酸不大于4.0%,其他脂肪酸不大于4.0%。

水分 取本品,照水分测定法(通则0832第一法1)测定,含水分不得过1.0%。

炽灼残渣 取本品1.0g,依法检查(通则0841),遗留残渣不得过0.5%。

重金属 取炽灼残渣项下遗留的残渣,依法检查(通则0821第二法),含重金属不得过百万分之十。

【类别】乳化剂和消泡剂等。

【贮藏】密封,在干燥处保存。



【中文名称】       硬脂富马酸钠


【英文名称】       Sodium Stearyl Fumarate

【中文化学名】    2-丁烯二酸单十八醇酯钠盐

【其他英文名】    E-Sodium octadecyl fumarate; Monosodium stearyl fumarate; 2-Butenedioic acid (2E) - monooctadecyl ester, sodium salt; 

【CAS NO.】       4070-80-8

【分子量】          390.5324

【分子式】          C22H39NaO4

【质量标准】       USP

【用途】             本品硬酯富马酸钠(Purv)属于硬脂酸钠的改进型润滑剂,广泛应用于药用辅料。从结构上,硬酯富马酸钠(Purv)包含有一个硬酯酰和一个反式丁烯二酸组成的单羧酸钠盐。本品的分子量为390.53,能解决硬脂酸盐做润滑剂时产生的相关问题。起到改善崩解,促进溶出的作用。是亲水性润滑剂的首选辅料。 

硬脂富马酸钠
Yingzhi Fumasuanna
Sodium Stearyl Fumarate
    本品为(E)-丁烯二酸十八醇酯钠盐。按无水物计算,含C22H39NaO4应为99.0%~101.5%。
  【性状】本品为白色或类白色粉末,可带扁平的球形颗粒聚结物。
  本品在甲醇中微溶,在水、乙醇或丙酮中几乎不溶。
  皂化值取本品约0.45g,精密称定,置250ml回流瓶中,精密加入0.55%氢氧化钾无水乙醇溶液(临用新制)50ml,加热回流2小时,用70%乙醇溶液10ml冲洗冷凝管内壁,再用水冲洗3次,每次10ml,冷却至室温,再用70%乙醇溶液洗涤2次,每次10ml,加酚酞指示液1.0ml,用盐酸滴定液(0.1mol/L)滴定至溶液的粉红色刚好褪去,同时做空白试验。按下式计算,皂化值应为142.2~146.0。
    【鉴别】(1)本品的红外光吸收图谱应与对照品的图谱一致(通则0402)。
  (2)本品显钠盐鉴别(1)的反应(通则0301)。
  【检查】有关物质   取本品约15mg,精密称定,精密加入硅烷化溶液[取N,O-双(三甲基硅烷基)三氟乙酰胺2ml,加三甲基氯硅烷0.02ml,混匀]lml,密封,在70℃加热1小时,滤过,取续滤液作为供试品溶液;另取硬脂马来酸钠与硬脂富马酸钠对照品各约lmg,自“精密加入硅烷化溶液1ml”起同法操作,作为系统适用性溶液。照气相色谱法(通则0521)测定,用二甲基聚硅氧烷(或极性相近)为固定液的毛细管柱为色谱柱(HP-1,15m×0.53mm,0.15μm或HP-5,30m×0.32mm,0.25μm),起始温度为180℃,维持1分钟,以每分钟7℃的速率升温至320℃,维持5分钟;载气为氦气;进样口温度为250℃;检测器温度为320℃。精密量取系统适用性溶液2μl注入气相色谱仪,记录色谱图,硬脂三甲基硅烷马来酸酯峰与硬脂三甲基硅烷富马酸酯峰的分离度应符合要求。精密量取供试品溶液2μl注入气相色谱仪,记录色谱图。按面积归一化法计算,含硬脂马来酸钠不得过0.25%,其他单个杂质不得过0.5%,杂质总量不得过5.0%。
  丙酮(此项适用于以丙酮作为反应溶剂的工艺)取本品约0.12g,精密称定,置顶空瓶中,精密加入二甲基亚砜3ml,密封,作为供试品溶液;另取丙酮适量,精密称定,用二甲基亚砜定量稀释制成每1ml中约含19.2μg的溶液,精密量取3ml,置顶空瓶中,密封,作为对照溶液。照残留溶剂测定法(通则0861第二法)测定,用14%氰丙基苯基-86%二甲基聚硅氧烷(或极性相近)为固定液的毛细管柱为色谱柱,起始温度为30℃,维持2分钟,以每分钟5℃的速率升温至40℃,维持20分钟,以每分钟20℃的速率升温至120℃,维持5分钟,再以每分钟30℃的速率升温至150℃,维持1分钟;进样口温度为150℃;检测器温度为250℃;顶空瓶平衡温度为80℃,平衡时间为20分钟。丙酮峰与相邻峰的分离度应符合要求。取供试品溶液和对照溶液分别顶空进样,记录色谱图。按外标法以峰面积计算,含丙酮不得过0.05%。
  甲苯(此项适用于以甲苯作为反应溶剂的工艺)取本品约0.60g,置顶空瓶中,精密称定,精密加入内标溶液(取丁酮适量,精密称定,用二甲基亚砜定量稀释制成每1ml中约含4.0mg的溶液,作为内标贮备液;精密量取适量,用二甲基亚砜定量稀释制成每1ml中约含200μg的溶液)3ml,密封,作为供试品溶液;另取甲苯适量,精密称定,用二甲基亚砜定量稀释制成每1ml中约含0.52mg的溶液,精密量取lml,置250ml量瓶中,精密加入内标贮备液2ml,用二甲基亚砜稀释至刻度,摇匀,精密量取3ml,置顶空瓶中,密封,作为对照溶液。照残留溶剂测定法(通则0861第二法)测定,用14%氰丙基苯基-86%二甲基聚硅氧烷(或极性相近)为固定液的毛细管柱为色谱柱,起始温度为30℃,维持2分钟,以每分钟5℃的速率升温至40℃,维持20分钟,以每分钟20℃的速率升温至120℃,维持5分钟,再以每分钟30℃的速率升温至150℃,维持1分钟;进样口温度为150℃;检测器温度为250℃;顶空瓶平衡温度为110℃,平衡时间为30分钟。甲苯峰与相邻峰的分离度应符合要求。取供试品溶液和对照溶液分别顶空进样,记录色谱图。按内标法以峰面积计算,含甲苯不得过0.089%。
  水分 取本品,照水分测定法(通则0832第一法)测定,含水分不得过5.0%。
  重金属 取本品1.0g,依法检查(通则0821第二法),含重金属不得过百万分之二十。若含重金属小于百万分之十,则不必进行铅检查,若含重金属大于百万分之十,应进行铅检查。
  铅 取本品0.5g,置于聚四氟乙烯消解罐中,加入硝酸10ml与30%过氧化氢溶液2ml,浸泡过夜,密封,放入微波消解装置中消解(微波消解釆用梯度升温控制方式,参数采用10分钟升温至190℃,保持3小时),冷却,将消解液转移至50ml量瓶中,用水稀释至刻度,摇匀,作为供试品溶液。照原子吸收分光光度法(通则0406第一法),在283.3nm波长处测定,含铅不得过百万分之十。
  砷盐 取本品1.3g,加2%硝酸镁乙醇溶液10ml,点燃烧尽后,用小火炽灼至炭化,放冷,加硝酸0.5ml,继续加热至氧化氮蒸气除净后,置500~600℃炽灼使完全炭化,加盐酸3ml,水浴加热使残渣溶解,依法检查(通则0822第二法),应符合规定(0.00015%)。
  【含量测定】取本品约0.25g,精密称定,加二氯甲烷10ml与冰醋酸30ml使溶解后,照电位滴定法(通则0701),用高氯酸滴定液(0.1mol/L)滴定,并将滴定结果用空白试验校正。每1ml高氯酸滴定液(0.1mol/L)相当于39.05mg的C22H39NaO4。
  【类别】药用辅料,润滑剂。
  【贮藏】遮光,密封保存。
  【标示】应标明粒度分布、比表面积的标示值。


联系电话:18892005891

蓖麻油

Bimayou  

Castor Oil

本品为大戟科植物蓖麻Ricinus communis L. 的成熟种子经榨取并精制得到的脂肪油。

【性状】本品为无色至淡黄色透明黏稠液体。

相对密度 本品的相对密度(通则0601)在25℃时为0.956~0.969。

旋光度 取本品,依法测定(通则0621),旋光度应为+3.5°至+6.0°。

折光率 本品的折光率(通则0622)为1.478~1.480。

酸值 本品的酸值(通则0713)应不大于1.5或0.8(供注射用)。

羟值 本品的羟值(通则0713)应为160~168。

碘值 本品的碘值(通则0713)应为82~90。

过氧化值 本品的过氧化值(通则0713)应不大于5.0。

皂化值 本品的皂化值(通则0713)应为176~186。

【鉴别】(1)在脂肪酸组成项下记录的色谱图中,供试品溶液中油酸甲酯峰、亚油酸甲酯峰、蓖麻油酸甲酯峰的保留时间应分别与系统适用性溶液中相应峰的保留时间一致。

(2)取本品2ml,与乙醇8ml混合,应澄清(通则0902)。

【检查】吸光度 取本品1g,精密称定,加乙醇溶解并稀释至100ml,照紫外-可见分光光度法(通则0401),在270nm的波长处测定吸光度,应为0.7~1.5。

不皂化物 取本品5.0g,依法测定(通则0713),不皂化物不得过0.8%。

甲氧基苯胺值(供注射用) 取本品2.0g,溶剂为异辛烷-异丙醇(8∶2),依法测定(通则0713),甲氧基苯胺值应不大于5.0。

水分 取本品,照水分测定法(通则0832第一法1)测定,含水分不得过0.3%或0.2%(供注射用)。

脂肪酸组成 取本品约75mg,置于10ml具塞离心管中,加叔丁基甲基醚2ml,振荡并加热(50~60℃)使溶解,溶液仍然温热时加1.2%甲醇钠-无水甲醇溶液1ml,剧烈振摇至少5分钟,加水5ml,剧烈振摇约30秒,以每分钟1500转的速率离心15分钟,取上清液作为供试品溶液。

分别取棕榈酸甲酯、硬脂酸甲酯、油酸甲酯、亚油酸甲酯、α-亚麻酸甲酯、二十碳烯酸甲酯与蓖麻油酸甲酯对照品,加叔丁基甲基醚溶解并稀释制成每1ml中各约含0.1mg的溶液,作为系统适用性溶液。

另取蓖麻油酸甲酯与硬脂酸甲酯对照品各约50mg,精密称定,置10ml量瓶中,加叔丁基甲基醚溶解并稀释至刻度,作为对照品溶液。

照气相色谱法(通则0521)测定,用聚乙二醇为固定液(或极性相近)的毛细管柱为色谱柱,柱温为215℃,维持55分钟;进样口温度为250℃,检测器温度为250℃。取系统适用性溶液1μl注入气相色谱仪,记录色谱图,理论板数按蓖麻油酸甲酯峰计算不低于10 000,各色谱峰的分离度均应符合要求。

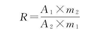
精密量取供试品溶液与对照品溶液各1μl,分别注入气相色谱仪,记录色谱图,按下式计算对照品溶液中蓖麻油酸甲酯的校正因子R

蒲公英

式中 m1为对照品溶液中蓖麻油酸甲酯的质量;

m2为对照品溶液中硬脂酸甲酯的质量;

A1为对照品溶液色谱图中蓖麻油酸甲酯的峰面积;

A2为对照品溶液色谱图中硬脂酸甲酯的峰面积。

通过乘以校正因子R对供试品溶液中蓖麻油酸甲酯的峰面积进行校正,按下式以面积归一化法计算各脂肪酸组成:

蒲公英

式中 AU为各脂肪酸甲酯的峰面积,其中蓖麻油酸甲酯以校正后的峰面积计;

AT为除溶剂峰以外各脂肪酸甲酯的总和,其中蓖麻油酸甲酯以校正后的峰面积计。

供试品中含棕榈酸不得过2.0%,硬脂酸不得过2.5%,油酸(以油酸与顺-11-十八碳烯酸合计)应为2.5%~6.0%,亚油酸应为2.5%~7.0%,α-亚麻酸不得过1.0%,二十碳烯酸不得过1.0%,蓖麻油酸应为85.0%~92.0%,其他脂肪酸不得过1.0%。

细菌内毒素(供注射用) 取本品,加内毒素检查用水稀释至所需浓度,涡旋混合3分钟,离心,取水层,依法检查(通则1143),每1mg蓖麻油中含内毒素的量应小于标示值。

【类别】乳化剂、助溶剂和溶剂等。

【贮藏】遮光,密闭保存。

【标示】①应标明本品的运动黏度。②应标明每1mg蓖麻油(供注射用)中含内毒素的量应小于的标示值。③如充入惰性气体,应标明惰性气体种类。

注:本品别名精制蓖麻油。


联系电话:18892005891


本品常用结晶碳酸钠和醋酸反应后,滤过、蒸发、冷却、结晶、常温干燥而制成。按干燥品计算,含醋酸钠(C2H3NaO2)不得少于99.0%。    【性状】本品为无色结晶或白色结晶性粉末,微带醋酸味。    本品在水中易溶。    

【鉴别】(1)本品的红外光吸收图谱应与对照品图谱一致(通则0402)。    (2)本品的水溶液显钠盐和醋酸盐的鉴别反应(通则0301)。    

【检查】碱度  取本品适量,加水溶解并稀释成每1ml中含无水醋酸钠30mg的溶液,依法测定(通则0631),pH值应为7.5~9.2。    氯化物  取本品适量(相当于无水醋酸钠0.2g),依法检查(通则0801),与标准氯化钠溶液7.0ml制成的对照溶液比较,不得更浓(0.035%)。 重金属  取本品适量(相当于无水醋酸钠2.0g),加水23ml溶解,加稀醋酸2ml,依法检查(通则0821第一法),含重金属不得过百万分之十。      

【含量测定】取经120℃干燥至恒重的本品约60mg,精密称定,加冰醋酸25ml溶解,加结晶紫指示液2滴,用高氯酸滴定液(0.1mol/L)滴定至溶液显蓝色,并将滴定的结果用空白试验校正。每1ml的高氯酸滴定液(0.1mol/L)相当于8.203mg的C2H3NaO2。    

【类别】药用辅料,pH值调节剂和缓冲剂等。    

【贮藏】密闭,在阴凉干燥处保存


联系电话:18892005891

倍他环糊精
Beita Huanhujing
Betacyclodextrin
    (C6H10O5)7    1134.99
  [7585-39-9]
  本品为环状糊精葡萄糖基转移酶作用于淀粉而生成的7个葡萄糖以α-1,4-糖苷键结合的环状低聚糖。按干燥品计算,含(C6H10O5)7应为98.0%~102.0%。
  【性状】本品为白色结晶或结晶性粉末。
  本品在水中略溶,在甲醇、乙醇或丙酮中几乎不溶。
  比旋度取 本品,精密称定,加水使溶解并定量稀释制成每1ml中约含10mg的溶液,依法测定(通则0621),比旋度为+160°至+164°。
  【鉴别】(1)取本品约0.2g,加碘试液2ml,在水浴中加热使溶解,放冷,产生黄褐色沉淀。
  (2)在含量测定项下记录的色谱图中,供试品溶液主峰的保留时间应与对照品溶液主峰的保留时间一致。
  (3)本品的红外光吸收图谱应与对照品的图谱一致(通则0402)。
  【检查】酸碱度 取本品约0.20g,加水20ml使溶解,加饱和氯化钾溶液0.2ml,依法测定(通则0631),pH值应为5.0~8.0。
  溶液的澄清度与颜色 取本品0.50g,加水50ml使溶解,依法检查(通则0901与通则0902),溶液应澄清无色;如显浑浊,与2号浊度标准液(通则0902第一法)比较,不得更浓。
  杂质吸光度 取本品约1g,精密称定,加水100ml使溶解,照紫外-可见分光光度法(通则0401)测定,在230~350nm波长范围内的吸光度不得过0.10,在350~750nm波长范围内的吸光度不得过0.05。
  氯化物 取本品0.39g,依法检查(通则0801),与标准氯化钠溶液7.0ml制成的对照溶液比较,不得更浓(0.018%)。
  还原糖 取本品约2.0g,精密称定,加水25ml使溶解,加碱性酒石酸铜试液40ml,缓缓煮沸3分钟,室温放置过夜,用4号垂熔漏斗滤过,沉淀用温水洗至洗液呈中性,弃去滤液和洗液,沉淀加热硫酸铁试液20ml使溶解,滤过,滤器用水100ml洗涤,合并滤液与洗液,加热至60℃,趁热用高锰酸钾滴定液(0.02mol/L)滴定。按干燥品计算,每2g消耗高锰酸钾滴定液(0.02mol/L)不得过3.2ml(0.5%)。
  残留溶剂 环己烷、三氯乙烯和甲苯 取本品约0.2g,精密称定,置顶空瓶中,加内标溶液(取二氯乙烯适量,用20%二甲基亚砜溶液定量制成每1ml中约含10μg的溶液,即得)10.0ml,作为供试品溶液;另精密称取环己烷、三氯乙烯和甲苯适量,加内标溶液溶解并定量稀释成每1ml中分别含环己烷78μg、三氯乙烯0.2μg、甲苯0.2μg的混合溶液,量取10.0ml置顶空瓶中作为对照品溶液。照残留溶剂测定法(通则0861第二法)试验,以100%二甲基聚硅氧烷为固定液的毛细管柱为色谱柱;柱温为50℃,维持8分钟,以每分钟8℃的速率升温至120℃,维持10分钟;进样口温度为140℃;检测器温度为280℃;顶空瓶平衡温度为70℃平衡时间为30分钟。取对照品溶液顶空进样,各成分峰的分离度应符合要求。取供试品溶液与对照品溶液分别顶空进样,记录色谱图,按内标法以峰面积计算,含环己烷不得过0.388%,三氯乙烯不得过0.001%,甲苯不得过0.001%。
  有关物质 取本品适量,精密称定,用水溶解并定量稀释制成每1ml中约含10mg的溶液,作为供试品溶液;精密量取含量测定项下的系统适用性溶液5ml,置50ml量瓶中,用水稀释至刻度,摇匀,作为对照品溶液。照含量测定项下的色谱条件,精密量取供试品溶液和对照品溶液各20μl,分别注入液相色谱仪,记录色谱图至倍他环糊精峰保留时间的2倍。供试品溶液色谱图中如有与阿尔法环糊精、伽马环糊精保留时间一致的色谱峰,其峰面积均不得大于对照品溶液中相应峰的峰面积的一半(0.25%),各杂质峰的峰面积之和不得大于对照品溶液中倍他环糊精的峰面积(0.5%)。
  干燥失重 取本品,在105℃干燥至恒重,减失重量不得过14.0%(通则0831)。
  炽灼残渣 取本品1.0g,依法检查(通则0841),遗留残渣不得过0.1%。
  重金属 取炽灼残渣项下遗留的残渣,依法检查(通则0821第二法),含重金属不得过百万分之五。
  砷盐 取本品1.0g,在500~600℃炽灼使完全灰化,放冷,加水23ml溶解后,加盐酸5ml,依法检查(通则0822第一法),应符合规定(0.0002%)。
  微生物限度 取本品,依法检查(通则1105与通则1106),每1g供试品中需氧菌总数不得过103cfu,霉菌和酵母菌总数不得过102cfu,不得检出大肠埃希菌。
  【含量测定】照高效液相色谱法(通则0512)测定。
  色谱条件与系统适用性试验 用十八烷基硅烷键合硅胶为填充剂;以水-甲醇(93∶7)为流动相;以示差折光检测器测定,检测器温度40℃,取阿尔法环糊精对照品、倍他环糊精对照品与伽马环糊精对照品适量,加水溶解并定量稀释制成每1ml含上述对照品各0.5mg的混合溶液,作为系统适用性溶液。取50μl注入液相色谱仪,记录色谱图,伽马环糊精峰和阿尔法环糊精峰的分离度应符合要求;各色谱峰的拖尾因子均应在0.8~2.0之间;各色谱峰理论板数均不低于1500。
  测定法 取本品约250mg,精密称定,置25ml量瓶中,加水溶解并稀释至刻度,摇匀,精密量取5ml,置50ml量瓶中,用水稀释至刻度,摇匀,精密量取50μl注入液相色谱仪,记录色谱图;另取倍他环糊精对照品约25mg,精密称定,置25ml量瓶中,加水溶解并稀释至刻度,摇匀,同法测定。按外标法以峰面积计算,即得。
  【类别】药用辅料,包合剂和稳定剂等。
  【贮藏】密闭,在干燥处保存。


联系电话:18892005891

苯扎溴铵

Benzhaxiu’an

Benzalkonium Bromide

本品为溴化二甲基苄基烃铵的混合物。按无水物计算,含烃铵盐(C22H40BrN)应为95.0%~105.0%。

【性状】本品为黄色胶状体或白色至黄色蜡状固体。

本品在水或乙醇中易溶。

【鉴别】(1)取本品约0.2g,加硫酸1ml使溶解,加硝酸钠0.1g,置水浴上加热5分钟,放冷,加水10ml与锌粉0.5g,置水浴上微温5分钟,取上清液2ml,加5%亚硝酸钠溶液1ml,置冰水浴中冷却,再加碱性β-萘酚试液3ml,即显猩红色。

(2)取本品1%水溶液10ml,加稀硝酸0.5ml,即发生白色沉淀,离心或静置使分层,下层沉淀物加入乙醇适量,即溶解,上清液显溴化物的鉴别(1)反应(通则0301)。

(3)取本品,加水溶解并稀释制成每1ml中约含0.5mg的溶液,照紫外-可见分光光度法(通则0401)测定,在257nm、262nm与269nm的波长处有最大吸收。

【检查】酸碱度 取本品0.50g,加水50ml使溶解,加溴甲酚紫溶液(取溴甲酚紫50mg,加0.1mol/L氢氧化钠溶液0.92ml与乙醇20ml使溶解,加水稀释至100ml)0.1ml,若溶液显黄色,用氢氧化钠滴定液(0.1mol/L)滴定;若溶液显蓝紫色,用盐酸滴定液(0.1mol/L)滴定,消耗的滴定液均不得过0.1ml。

溶液的澄清度与颜色 取本品1.0g,加新沸放冷的水100ml使溶解,依法检查(通则0901与通则0902),溶液应澄清无色;如显浑浊,与1号浊度标准液(通则0902第一法)比较,不得更浓;如显色,与黄色2号标准比色液(通则0901第一法)比较,不得更深。

水不溶物 取本品1.0g,加水10ml溶解后,不得显浑浊,不得有不溶物。

胺及胺盐 取本品5.0g,加混合溶液[甲醇-盐酸滴定液(1mol/L)(97∶3)]20ml,水浴小心加热使溶解(注意不得超过该溶液沸点)。加异丙醇100ml,缓缓向溶液中通氮气不少于30秒。逐渐加入四丁基氢氧化铵滴定液(0.1mol/L)12.0ml,记录电位滴定曲线。若曲线显示两个突跃点,两突跃点间的滴定体积不超过5.0ml,则胺及胺盐不超过0.1mmol/g,样品符合规定。若曲线不显示突跃点,则样品不符合规定。若曲线显示一个突跃点,滴定前,加25.0mg/ml的二甲基癸胺溶液3.0ml于异丙醇中,然后按以上操作,若滴定体积12.0ml前,曲线仍仅显示一个突跃点,则样品不符合规定。

苯甲醇、苯甲醛与氯化苄 临用新制。取本品适量,精密称定,加甲醇溶解并定量稀释制成每1ml中约含50mg的溶液,作为供试品溶液。

分别取苯甲醇对照品、苯甲醛对照品、氯化苄溶液对照品适量,精密称定,加甲醇溶解并定量稀释制成每1ml中分别约含苯甲醇0.25mg的对照品溶液A、苯甲醛0.075mg的对照品溶液B、氯化苄0.025mg的对照品溶液C。

精密量取对照品溶液A 1.0ml,置10ml量瓶中,用甲醇稀释制成每1ml中约含苯甲醇为0.025mg的溶液,作为灵敏度溶液。

照高效液相色谱法(通则0512)测定,用十八烷基硅烷键合硅胶为填充剂,以己烷磺酸钠磷酸盐溶液(己烷磺酸钠1.09g与磷酸二氢钠6.9g加水稀释至1000ml,摇匀,用磷酸调节pH值至3.5)为流动相A,甲醇为流动相B;柱温为40℃;流速为每分钟1.0ml。按下表进行梯度洗脱,苯甲醇及氯化苄的检测波长为210nm,苯甲醛的检测波长为257nm。

蒲公英

取对照品溶液A和灵敏度溶液各20μl,分别注入液相色谱仪,其中对照品溶液A连续进样5针,峰面积的相对标准偏差应不大于5.0%;灵敏度溶液色谱图中,主峰信噪比应大于10。

精密量取供试品溶液及对照品溶液A、对照品溶液B、对照品溶液C各20μl,分别注入液相色谱仪,记录色谱图。按外标法以峰面积计算,含苯甲醇不得过0.5%;含苯甲醛不得过0.15%;含氯化苄不得过0.05%。

水分 取本品,照水分测定法(通则0832第一法1)测定,含水分不得过10.0%。

炽灼残渣 取本品1.0g,依法检查(通则0841),遗留残渣不得过0.1%。

【含量测定】取本品约0.15g,精密称定,置烧杯中,加水75ml使溶解,用盐酸溶液(1→2)调节pH值至2.6~3.4,加甲基橙指示液1滴,用四苯硼钠滴定液(0.02mol/L)滴定至溶液显红色,即得。每1ml四苯硼钠滴定液(0.02mol/L)相当于7.969mg的C22H40BrN。

【类别】抑菌剂。

【贮藏】遮光,密封保存。

注:本品有引湿性。

苯扎溴铵

联系电话:18892005891

卡波姆均聚物

Kabomu Junjuwu  

Carbomer Homopolymer

本品系以非苯溶剂为聚合溶剂的丙烯酸键合烯丙基蔗糖或季戊四醇烯丙醚的高分子聚合物。按干燥品计,含羧酸基(—COOH)应为56.0%~68.0%。

【性状】本品为白色疏松粉末。

【鉴别】(1)取本品0.1g,加水20ml和10%氢氧化钠溶液0.4ml,即成凝胶状。

(2)取本品0.1g,加水10ml,用1mol/L氢氧化钠溶液调节pH值至7.5,边搅拌边加10%氯化钙溶液2ml,立即产生白色沉淀。

(3)本品的红外光吸收图谱(通则0402)应在波数为1710cm-1±5cm-1、1454cm-1±5cm-1、1414cm-1±5cm-1、1245cm-1±5cm-1、1172cm-1±5cm-1、1115cm-1±5cm-1和801cm-1±5cm-1处有特征吸收,其中1710cm-1处有最强吸收。

【检查】酸度 取本品0.1g,加水10ml使溶胀均匀分散,依法检查(通则0631),pH值应为2.5~3.5。

黏度 取预先经80℃减压干燥1小时的本品2.5g,边搅拌边加水500ml,以每分钟800转的转速持续搅拌至分散均匀,将搅拌速度降低至每分钟600转,继续搅拌20分钟后,降低搅拌速度至每分钟300转,用18%氢氧化钠溶液调节pH至7.3~7.8,在25℃水浴中静置1小时,以每分钟3000转的速度离心4分钟(可适当增长离心时间以去除气泡),按下表选择合适的转子和转速,依法测定动力黏度(通则0633第三法转子型旋转黏度计)。A型应为4~11Pa·s,B型应为25~45Pa·s,C型应为40~60Pa·s。

蒲公英

乙酸乙酯与环己烷(生产工艺中使用时测定) 取本品约0.2g,精密称定,置顶空瓶中,精密加入二甲基亚砜5ml,密封,作为供试品溶液。

分别取乙酸乙酯与环己烷适量,精密称定,用二甲基亚砜定量稀释成每1ml中含乙酸乙酯0.2mg与环己烷0.12mg的混合溶液,精密量取5ml,置顶空瓶中,密封,作为对照品溶液。

照气相色谱法(通则0521)测定,用100%二甲基聚硅氧烷(或极性相近)为固定液的毛细管柱,程序升温,起始温度为40℃,维持3分钟,以每分钟5℃的速率升温至120℃,维持20分钟,再以每分钟20℃的速率升温至220℃,维持3分钟,再以每分钟20℃的速率升温至240℃,维持8分钟;进样口温度260℃;检测器温度260℃;顶空瓶平衡温度为85℃,平衡时间为90分钟。

取对照品溶液与供试品溶液分别顶空进样。按外标法以峰面积计算,含乙酸乙酯不得过0.5%,环己烷不得过0.3%。

 取苯适量,精密称定,用二甲基亚砜定量稀释制成每1ml中含苯1.0mg的溶液,精密量取适量,用水定量稀释制成每1ml中含苯0.5μg的溶液,作为苯贮备液。

取本品约250mg,精密称定,置顶空瓶中,精密加入2%氯化钠溶液10.0ml,机械混合均匀(约30分钟),密封,作为供试品溶液,此溶液应在配制后3小时内进样。

取本品约250mg,精密称定,置顶空瓶中,精密加入2%氯化钠溶液9.0ml,机械混合均匀(约30分钟),精密加入苯贮备液1ml,机械混合均匀(约1分钟),密封,作为对照品溶液。

照气相色谱法(通则0521)测定,用6%氰丙基苯基-94%二甲基聚硅氧烷为固定液的毛细管柱,程序升温,起始温度为40℃,维持20分钟,以每分钟10℃的速率升温至240℃,维持20分钟;进样口温度140℃,检测器为氢火焰离子化检测器,温度250℃;顶空瓶平衡温度为80℃,平衡时间为60分钟,顶空进样。以对照品溶液作为系统适用性溶液,苯的色谱峰高应为基线噪音的10倍以上,连续进样三次,苯的峰面积相对标准偏差不得过15%。取对照品溶液与供试品溶液分别顶空进样,供试品溶液中苯的峰面积不得大于对照品溶液中苯的峰面积的一半(0.0002%)。

丙烯酸 取本品约50mg,精密称定,置具塞离心管中,精密加2.5%硫酸铝钾溶液5ml,封盖,在50℃下,以每分钟250转的转速振摇1小时,以每分钟10 000转的转速离心10分钟,滤过,滤液作为供试品溶液。

取丙烯酸适量,精密称定,用2.5%硫酸铝钾溶液溶解并定量稀释成每1ml中含25μg的溶液,作为对照品溶液。

照高效液相色谱法(通则0512)测定,用十八烷基硅烷键合硅胶为填充剂;以磷酸二氢钾溶液(取磷酸二氢钾1.36g,加水1000ml使溶解,用磷酸调节pH值至3.0±0.1)-甲醇(80∶20)为流动相;检测波长200nm。

精密量取对照品溶液和供试品溶液各10μl,注入液相色谱仪,按外标法以峰面积计算,不得过0.25%。

干燥失重 取本品,在80℃减压干燥1小时,减失重量不得过2.0%(通则0831)。

炽灼残渣 取本品1.0g,依法检查(通则0841),遗留残渣不得过2.0%。

重金属 取炽灼残渣项下遗留的残渣,依法检查(通则0821第二法),含重金属不得过百万分之二十。

【含量测定】 取预先经80℃减压干燥1小时的本品约0.4g,精密称定,加水400ml,搅拌使溶解,加氯化钾2g,照电位滴定法(通则0701),用氢氧化钠滴定液(0.25mol/L)滴定(近终点时,每次滴入后搅拌至少2分钟)。每1ml氢氧化钠滴定液(0.25mol/L)相当于11.25mg的—COOH。

【类别】软膏基质和释放调节剂等。

【贮藏】密闭保存。

【标示】应标示本品所属的黏度类型(A型、B型或C型)、黏度值、测量用的仪器和参数。

注:本品极具引湿性。


联系电话:18892005891

聚乙二醇1000
Juyierchun 1000
Polyethylene Glycol 1000
  本品为环氧乙烷和水缩聚而成的混合物。分子式以HO(CH2CH2O)nH表示,其中n代表氧乙烯基的平均数。
  【性状】本品为无色或几乎无色的黏稠液体,或呈半透明蜡状软物;略有特臭。
  本品在水或乙醇中极易溶解。
  凝点  取本品,照凝点测定法(通则0613)测定,记录凝结过程中最高温度,应为33~38℃。
  黏度  取本品25.0g,置50ml量瓶中,加水溶解并稀释至刻度,摇匀,用毛细管内径为0.8mm的平氏黏度计,依法测定(通则0633第一法),在40℃时的运动黏度为8.5~11.0mm2/s。
  【鉴别】(1)取本品0.05g,加稀盐酸5ml和氯化钡试液1ml,振摇,滤过;在滤液中加入10%磷钼酸溶液1ml,产生黄绿色沉淀。
  (2)取本品0.1g,置试管中,加入硫氰酸钾和硝酸钴各0.1g,混合后,加入二氯甲烷5ml,溶液呈蓝色。
  【检查】平均分子量  取本品约3.0g,精密称定,置干燥的250ml具塞锥形瓶中,精密加邻苯二甲酸酐的吡啶溶液(取邻苯二甲酸酐14g,溶于无水吡啶100ml中,放置过夜,备用)25ml,摇匀,加少量无水吡啶于锥形瓶口边缘封口,置沸水浴中,加热30分钟,取出冷却,精密加入氢氧化钠滴定液(0.5mol/L)50ml,以酚酞的吡啶溶液(1→100)为指示剂,用氢氧化钠滴定液(0.5mol/L)滴定至显红色,并将滴定的结果用空白试验校正。供试量(g)与4000的乘积,除以消耗氢氧化钠滴定液(0.5mol/L)的容积(ml),即得供试品的平均分子量,应为900~1100。
  酸度  取本品1.0g,加水20ml溶解后,依法测定(通则0631),pH值应为4.0~7.0。
  溶液的澄清度与颜色  取本品5.0g,加水50ml溶解后,依法检查(通则0901与通则0902),溶液应澄清无色;如显浑浊,与2号浊度标准液(通则0902第一法)比较,不得更浓;如显色,与黄色2号标准比色液(通则0901第一法)比较,不得更深。
  乙二醇、二甘醇、三甘醇  取本品4.0g,精密称定,置100ml量瓶中,精密加入内标溶液(取1,3-丁二醇适量,用95%乙醇稀释成每1ml中约含4mg的溶液)1.0ml,加95%乙醇稀释至刻度,摇匀,作为供试品溶液;另取乙二醇二甘醇和三甘醇对照品适量,精密称定,加95%乙醇稀释配制成每1ml含乙二醇、二甘醇、三甘醇各4mg的对照品贮备溶液。再精密量取该溶液1.0ml,置100ml量瓶中,精密加入内标溶液1.0ml,加95%乙醇稀释至刻度,摇匀,作为对照品溶液。照气相色谱法(通则0521)试验。以50%苯基-50%甲基聚硅氧烷为固定液(30m×0.53mm,1μm),起始温度60℃,维持5分钟,以每分钟5℃的速率升温至110℃,维持5分钟,再以每分钟15℃的速率升温至170℃,维持5分钟,再以每分钟35℃的速率升温至280℃,维持40分钟(根据分离情况调整时间)。进样口温度为270℃,氢火焰离子化检测器温度为290℃。量取供试品溶液与对照品溶液各1μl,分别进样,记录色谱图。按内标法计算,含乙二醇、二甘醇与三甘醇均不得过0.1%。
  环氧乙烷和二氧六环  取本品1g,精密称定,置顶空瓶中,精密加入水1.0ml,密封,摇匀,作为供试品溶液。精密量取环氧乙烷水溶液对照品适量,用水稀释制成每1ml中约含2μg的溶液,作为环氧乙烷对照品溶液。另取二氧六环对照品适量,精密称定,用水制成每1ml中约含20μg的溶液,作为二氧六环对照品溶液。取本品1g,精密称定,置顶空瓶中,精密加环氧乙烷对照品溶液与二氧六环对照品溶液各0.5ml,密封,摇匀,作为对照溶液。精密量取环氧乙烷对照品溶液及二氧六环对照品溶液各0.5ml置顶空瓶中,加新配制的0.001%乙醛溶液0.1ml,密封,摇匀,作为系统适用性(灵敏度)溶液。照气相色谱法(通则0521)试验,以5%苯基-95%甲基聚硅氧烷为固定液,起始温度为35℃,维持5分钟,以每分钟5℃的速率升温至180℃,然后以每分钟30℃的速率升温至250℃,维持5分钟(根据分离情况调整时间)。进样口温度为150℃,氢火焰离子化检测器温度为250℃,顶空平衡温度为70℃,平衡时间45分钟。取系统适用性(灵敏度)溶液顶空进样,调节检测灵敏度使环氧乙烷和二氧六环峰高的信噪比均大于5,乙醛峰和环氧乙烷峰的分离度不小于2.0。分别取供试品溶液及对照溶液顶空进样,重复进样至少3次。环氧乙烷峰面积的相对标准偏差应不得过15%,二氧六环峰面积的相对标准偏差应不得过10%,按标准加入法计算,环氧乙烷不得过0.0001%,二氧六环不得过0.001%。
  甲醛  取本品1g,精密称定,加入0.6%变色酸钠溶液0.25ml,在冰水中冷却后,加硫酸5ml,摇匀,静置15分钟,缓缓定量转移至盛有10ml水的25ml量瓶中,放冷,缓慢加水加至刻度,摇匀,作为供试品溶液。另取甲醛溶液适量,精密称定,置100ml量瓶中,加水稀释至刻度,制成每1ml含甲醛3mg的溶液,精密量取1ml,置100ml量瓶中,用水稀释至刻度;精密量取1ml,自“加入0.6%变色酸钠溶液0.25ml”起,同法操作,作为对照溶液。取上述两种溶液,照紫外-可见分光光度法(通则0401),在567nm波长处测定吸光度,并用同法操作的空白溶液进行校正。供试品溶液的吸光度不得大于对照溶液的吸光度(0.003%)。
  水分  取本品2.0g,照水分测定法(通则0832第一法1)测定,含水分不得过1.0%。
  炽灼残渣  取本品,依法检查(通则0841),遗留残渣不得过0.1%。
  重金属  取本品4.0g,加盐酸溶液(9→1000)5ml与水适量,溶解后,用稀醋酸或氨试液调节pH值至3.0~4.0,再加水稀释至25ml,依法检查(通则0821第一法),含重金属不得过百万分之五。
  【类别】药用辅料,软膏基质和润滑剂等。
  【贮藏】密闭保存。
  【标示】应标明重均分子量及分子量分布系数的标示值(可按下述测定方法测定)。
  分子量及分子量分布测定方法  分别称取聚乙二醇400、聚乙二醇600、聚乙二醇1000、聚乙二醇4000、聚乙二醇7000分子量对照品适量,加流动相溶解并稀释制成每1ml中约含2mg的溶液作为对照品溶液。称取样品适量,加流动相溶解并稀释制成每1ml中约含2mg的溶液作为供试品溶液。照分子排阻色谱法(通则0514)测定,采用适宜分离范围的凝胶色谱柱,以0.1mol/L硝酸钠溶液(含0.02%抑菌剂)为流动相,示差折光检测器;检测器温度35℃,柱温35℃,取对照品溶液各100μl注入液相色谱仪,记录色谱图,由GPC软件计算回归方程,线性相关系数R应不得小于0.99o取供试品溶液100μl,同法测定,根据回归方程计算供试品的重均分子量及分子量分布。供试品的重均分子量应为标示值的90%~110%,分布系数应为产品标示值的90%~110%。
  注:抑菌剂为2-甲基-4-异噻唑啉-3-酮和5-氯-2-甲基-4-异噻唑啉-3-酮(如ProClin300)或其他抑菌效力相当的小分子抑菌剂。


西安天正药用辅料有限公司,位于古都西安,进驻国亨化工市场。致力于药用辅料行业,秉承为客户提供优质服务,供应优质合格产品为己任,期待您的光临合作。 公司主要经营范围:公司主要给医院制剂室、皮肤所、防疫站、学校、卫生院、实验室、保健品厂、药厂等需要药用辅料的单位,提供各种医药辅料,试剂,中间体,提取物,消毒产品,化工原料和精细化学品等。此外为了满足客户需要我公司推出送货服务(凡是西安市二环内,购买2件产品,我公司给予免费送货服务。)

联系电话:18892005891

羧甲纤维素钠
Suojia Xianweisuna
Carboxymethylcellulose Sodium
    [9004-32-4]
  本品为纤维素在碱性条件下与一氯醋酸钠作用生成的羧甲纤维素钠盐。按干燥品计算,含Na应为6.5%~9.5%。
  【性状】本品为白色至微黄色纤维状或颗粒状粉末。
  本品在水中溶胀成胶状溶液,在乙醇、乙醚或三氯甲烷中不溶。
  【鉴别】取本品1g,加温水50ml,搅拌使扩散均匀,制成胶体溶液,放冷,备用。
  (1)取上述溶液10ml,加硫酸铜试液1ml,即生成蓝色絮状沉淀。
  (2)取上述溶液5ml,加等体积氯化钡试液,即生成白色沉淀。
  (3)取上述溶液,显钠盐的火焰反应(通则0301)。
  【检查】黏度  取本品适量,按照标示项下要求标明的条件配制溶液,釆用规定的测定条件,依法测定(通则0633第三法),应为标示黏度的75%~140%。
  酸碱度  取本品0.5g,加温水50ml,剧烈搅拌,至形成胶体溶液,放冷,依法测定(通则0631),pH值应为6.5~8.0。
  取代度  取本品2.5g,置于坩埚中,用预先加热至50~70℃的90%乙醇溶液洗涤多次,直至加1滴铬酸钾试液和1滴硝酸银试液的滤液呈砖红色为止,再用无水乙醇洗涤1次,将洗涤后的样品移入称量瓶中,于120℃干燥2小时(1小时左右时,将称量瓶内样品轻轻敲松)。移入干燥器内,冷却至室温,称取1.0g上述样品,精密称定,置于坩埚中,以小火烧灼使炭化,放入300℃马弗炉中,升温至700℃,保温15分钟,放冷,移入250ml锥形瓶中,加水100ml和硫酸滴定液(0.05mol/L)50.0ml,微沸10分钟,加甲基红指示液3滴,用氢氧化钠滴定液(0.1mol/L)滴定至红色刚褪。
  按下式计算羧甲基毫摩尔数CB:
     式中 CB为样品中羧甲基毫摩尔数,mmol/g; 
  V1为硫酸滴定液的体积,ml;
  C1为硫酸滴定液的浓度,mol/L;
  V2为氢氧化钠滴定液的体积,ml;
  C2为氢氧化钠滴定液的浓度,mol/L;
  m为取样量,g。
  按下式计算羧甲基纤维素钠的取代度XD.S。
    按干燥品计算,羧甲基纤维素钠的取代度应为0.59~1.00。
  溶液的澄清度与颜色  取本品1.0g,加新沸放冷至40~50℃的水90ml,剧烈搅拌,至形成胶体溶液,放冷,用新沸放冷的水稀释至100ml。如显浑浊,与3号浊度标准液(通则0902第一法)比较,不得更浓;如显色,与黄色3号标准比色液(通则0901第一法)比较,不得更深。
  氯化物  取本品0.2g(按干燥品计),加新沸放冷至40~50℃的水90ml,剧烈搅拌,至形成胶体溶液,放冷,加新沸放冷的水稀释至100ml。取10.0ml,依法检查(通则0801),与标准氯化钠溶液5.0ml制成的对照液比较,不得更浓(0.25%)。
  硫酸盐  取本品0.5g(按干燥品计),加水50ml使形成胶体溶液,取10ml,加盐酸1ml,摇匀,置水浴上加热,产生絮状沉淀,放冷,离心。沉淀用水洗涤,每次10ml,离心,重复三次,合并洗液与上清液置50ml量瓶中,用水稀释至刻度,摇匀。取10.0ml,置50ml纳氏比色管中,加水至约40ml,依法检查(通则0802),与标准硫酸钾溶液1.0ml用同一方法制成的对照液比较,不得更浓(0.5%)。
  硅酸盐  取本品1.0g(按干燥品计),置坩埚中,炽灼至完全灰化;加稀盐酸20ml,盖上玻璃平皿,缓缓煮沸30分钟。移去玻璃平皿,水浴挥发至干,继续小火加热1小时,加热水10ml,搅拌均匀。经定量滤纸滤过,沉淀用热水洗涤至冲洗液中加硝酸银试液不再产生沉淀时止。沉淀与定量滤纸同置已恒重的坩埚中,在500~600℃炽灼至恒重,遗留残渣不得过0.5%。
  乙醇酸钠  避光操作。取本品0.5g(按干燥品计),精密称定,置烧杯中,加5mol/L醋酸溶液与水各5ml,搅拌至少30分钟使乙醇酸钠溶解,加丙酮80ml与氯化钠2g,搅拌使羧甲纤维素完全沉淀,滤过,用丙酮定量转移至100ml量瓶中,用丙酮稀释至刻度,摇匀,静置24小时,取上清液作为供试品溶液。取室温减压干燥12小时的乙醇酸0.310g,精密称定置1000ml量瓶中,加水溶解并稀释至刻度,摇匀,精密量取5ml,置100ml量瓶中,加5mol/L醋酸溶液5ml,静置30分钟,加丙酮80ml与氯化钠2g,摇匀,用丙酮稀释至刻度,摇匀,静置24小时,作为对照溶液。取供试品溶液和对照溶液各2.0ml,分别置25ml纳氏比色管中,水浴加热至丙酮挥去,放冷,精密加2,7-二羟基萘硫酸溶液(取2,7-二羟基萘10mg,加硫酸100ml使溶解,放至颜色褪去,2天内使用)20ml,密塞,摇匀,置水浴中加热20分钟,放冷,供试品溶液与对照溶液比较,颜色不得更深。必要时,取上述两种溶液,照紫外-可见分光光度法(通则0401),10分钟内,在540nm的波长处测定吸光度,计算。含乙醇酸钠不得过0.4%。
  干燥失重  取本品1.0g,在105℃干燥6小时,减失重量不得过10.0%(通则0831)。
  铁盐  取本品1.0g(按干燥品计),置坩埚中,缓缓炽灼至完全炭化,放冷;加硫酸0.5ml使残渣湿润,低温加热至硫酸蒸气除尽后,在550~600℃炽灼使完全灰化,放冷,加盐酸1ml与硝酸3滴,置水浴上蒸干,放冷,加稀盐酸16ml与水适量,使残渣溶解,移至100ml量瓶中,加水至刻度,摇匀(必要时滤过),精密量取25ml,置50ml纳氏比色管中,依法检查(通则0807),与标准铁溶液4.0ml用同一方法制成的对照液比较,不得更深(0.016%)。
  重金属  取本品1.0g(按干燥品计),置瓷坩埚中,依法检查(通则0821第二法),含重金属不得过百万分之十。
  砷盐  取本品0.67g(按干燥品计),加氢氧化钙1.0g,混合,加水2ml,搅拌均匀,干燥后,以小火灼烧使炭化,再以500~600℃炽灼使完全灰化,放冷,加盐酸8ml与水23ml,依法检查(通则0822第一法),应符合规定(0.0003%)。
  【含量测定】取干燥失重项下的本品约0.25g,精密称定,置150ml锥形瓶中,加冰醋酸50ml,摇匀,加热回流2小时,放冷,移至100ml烧杯中,锥形瓶用冰醋酸洗涤3次,每次5ml,合并洗液于烧杯中,照电位滴定法(通则0701),用高氯酸滴定液(0.1mol/L)滴定,并将滴定的结果用空白试验校正。每1ml高氯酸滴定液(0.1mol/L)相当于2.299mg的Na。
  【类别】药用辅料,崩解剂、黏合剂和填充剂等。
  【贮藏】密封保存。
  【标示】①以mPa・s或Pa・s为单位标明本品黏度标示值。②应标明黏度测定时的溶液浓度、测定条件。
  注:本品极具引湿性。